6. Circuits EQUATIONS Flashcards

(14 cards)

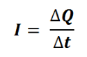
1
Q

6 (Equation) What is the equation for current?

A

Q= charge (coulomb)
∆t= time (seconds)
I= current (Ampere= coulomb per second)

How well did you know this?
1
Not at all
2
3
4
5
Perfectly
2
Q

6 (Equation) What is the equation for determining the resistance of a wire?

like the intrinsic resistance of a physical wire itself

A

R= resistance (measured in Ohms (Ω).
L= length of the resistor
ρ= resistivity- characterizes the intrinsic resistance to current flow
A= cross sectional area.

How well did you know this?
1
Not at all
2
3
4
5
Perfectly
3
Q

6 (Equation) What is Ohm’s law and what does it mean?

Or, what is the equation for voltage drop with a given resistance?

A

V=IR

V= voltage drop
I= current
R= magnitude of resistance

Ohm’s law states that for a given resistance, the magnitude of the current through a resistor is proportional to the voltage drop across the resistor.

How well did you know this?
1
Not at all
2
3
4
5
Perfectly
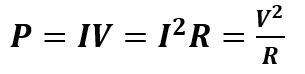
4
Q

6 (Equation) What is the equation for power in a resistor?

A

P= Power
I= current through the resistor
V= voltage drop across the resistor
R= resistance of the resistor.

Real World: Because power equals voltage times current, power companies can manipulate these two values while keeping power constant. One option is to increase current, which results in a decrease in voltage. The other option would be to increase voltage, thus decreasing the current. Power lines are high-voltage lines, which allows them to carry a smaller current—thus decreasing the amount of energy lost from the system.

How well did you know this?
1
Not at all
2
3
4
5
Perfectly
5
Q

6 (Equation) How do you calculate the amount of resistance with resistors in a series?

A

Rtotal= R1 + R2 + R3

Key concept: When there is only one path for the current to take, the current will be the same at every point in the line, including through every resistor. Once you know the current of the whole circuit, you can use V=IR to solve for the voltage drop across each resistor (assuming that you know the resistance of the resistors).

How well did you know this?
1
Not at all
2
3
4
5
Perfectly
6
Q

6 (Equation) How do you calculate the amount of resistance with resistors in parallel ?

A
How well did you know this?
1
Not at all
2
3
4
5
Perfectly
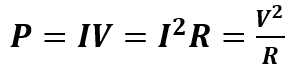
7
Q

6 (Equation) What is the equation that relates power, current, voltage, and resistance?

A
How well did you know this?
1
Not at all
2
3
4
5
Perfectly
8
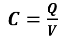
Q

6 (Equation) What is the equation for capacitance?

A

C= Capacitance
Q= Charge (+Q on the positive plate and -Q on the negative plate)
V= Voltage

How well did you know this?
1
Not at all
2
3
4
5
Perfectly
9
Q

6 (Equation) What is the equation for capacitance in a parallel plate capacitor?

A

C= capacitance
ε= permittivity of free space (8.85 x 10-12 F/m) (F= farad= 1 C/V NOT faraday’s constant)
A= the area of overlap of the two plates
d= the separation of the two plates.

FYI- the other equation for capicitance is c=Q/V

Capacitance will increase if you increase the area or decrease the distance

How well did you know this?
1
Not at all
2
3
4
5
Perfectly
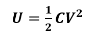
10
Q

6 (Equation) What is the equation for the potential energy of the capacitor?

A

U= potential energy of capacitor
C= capacitance
V= voltage

How well did you know this?
1
Not at all
2
3
4
5
Perfectly
11
Q

6 (Equation) What is the equation for capacitance due to a dielectric material?

A

C’=κC

C’ = the new capacitance
κ= dielectric constant
C= original capacitance

Key Concept: It’s important to note that a dielectric material can never decrease the capacitance; thus k can never be less than 1.

How well did you know this?
1
Not at all
2
3
4
5
Perfectly
12
Q

6 (Equation) What’s the equation for capacitors that are added in parallel?

A
How well did you know this?
1
Not at all
2
3
4
5
Perfectly
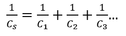
13
Q

6 (Equation) What’s the equation for capacitors that are added in series?

A
How well did you know this?
1
Not at all
2
3
4
5
Perfectly
14
Q

6 (Equation) What’s the equation for capacitors that are added in series?

A

*

How well did you know this?
1
Not at all
2
3
4
5
Perfectly