6. Circuits Flashcards

(44 cards)

1
Q

What is current?

A

Current is the movement of charge that occurs between two points that have different electrical potentials.

Current is sometimes considered the flow of positive charge (even though it’s the electrons that are moving).

Goes opposite to the electrons.

By convention, current is defined as the movement of positive charge from the high-potential end of a voltage source to the low-potential end.

In reality, it is negatively charged particles (electrons) that move in a circuit from low potential to high potential.

How well did you know this?
1
Not at all
2
3
4
5
Perfectly
2
Q

What is conductance?

A

It is the reciprocal of resistance.

How well did you know this?
1
Not at all
2
3
4
5
Perfectly
3
Q

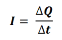
(Equation) What is the equation for current?

A

Q= charge (coulomb)
∆t= time (seconds)
I= current (Ampere= coulomb per second)

How well did you know this?
1
Not at all
2
3
4
5
Perfectly
4
Q

What is the difference between a direct current and an alternating current?

A

Direct current (DC): current flows in one direction only (battery)

Alternating Current (AC): in which the flow changes direction periodically (city power grid)

How well did you know this?
1
Not at all
2
3
4
5
Perfectly
5
Q

What is voltage?

A

Voltage is the pressure from an electrical circuit’s power source that pushes charged electrons (current) through a conducting loop, enabling them to do work such as illuminating a light.

In brief, voltage = pressure, and it is measured in volts (V).

Voltage was known as electromotive force (emf)

Also known as the potential difference between two cells.

How well did you know this?
1
Not at all
2
3
4
5
Perfectly
6
Q

In circuit laws, what is Kirchhoff’s junction rule?

A

Kirchhoff’s junction rule: states that the sum of currents directed into a point within a circuit equals the sum of the currents directed away from that point.

Key Concept: Kirchhoff’s junction rule is just like a fork in a river. There are a certain number of water molecules in a river, and at any junction, that number has to go in one of the diverging directions. No water molecules spontaneously appear or disappear. The same holds true for the amount of current at any junction.

How well did you know this?
1
Not at all
2
3
4
5
Perfectly
7
Q

In circuit laws, what is Kirchhoff’s loop rule?

A

Kirchhoff’s loop rule states that in a closed loop, the sum of voltage sources is always equal to the sum of voltage drops.

Key Concept: if all of the voltage wasn’t used up in each loop of the circuit then the voltage would build after each trip around the circuit, which is impossible.

Kahn: Kirchhoff’s loop rule states that the sum of all the electric potential differences around a loop is zero. It is also sometimes called Kirchhoff’s voltage law or Kirchhoff’s second law.

How well did you know this?
1
Not at all
2
3
4
5
Perfectly
8
Q

How do you define:

  • Current
  • Voltage
  • Electromotive Force
  • Conductivity
A

Current: movement of positive charge through a conductive material over time and is given in amperes

Voltage: potential difference between two points and is given in volts

Electromotive Force (EMF): to the potential difference of the voltage source for a circuit, usually a battery, and is given in volts.

Conductivity: reciprocal of resistance and is a measure of permissiveness to current flow; it is measured in siemens (S).

How well did you know this?
1
Not at all
2
3
4
5
Perfectly
9
Q

Which likely has a higher conductivity: 1 M glucose or 0.25 M NaCl? Why?

A

The sodium chloride solution likely has a higher conductivity because it is a salt and will increase the ion content of water. Glucose does not dissociate, and therefore it has a near-zero impact on conductivity.

How well did you know this?
1
Not at all
2
3
4
5
Perfectly
10
Q

True or False: in a circuit, the number of electrons entering a point and leaving a point are the same.

A

True. This is a restatement of Kirchhoff’s junction rule.

How well did you know this?
1
Not at all
2
3
4
5
Perfectly
11
Q

True or false: The sum of the voltage sources in a circuit is equal to the sum of voltage drops in that circuit.

A

False.

While the voltage sources and voltage drops are equal in any closed loop, this is not necessarily true for the entire circuit. For example, a 9 V battery that powers 10 light bulbs in parallel has a 9 V voltage source and a 9 V drop across each light bulb—a total of 90 V of drop across all of the light bulbs combined.

How well did you know this?
1
Not at all
2
3
4
5
Perfectly
12
Q

What is the definition of resistance?

A

Resistance is opposition to the movement of electrons through a material.

You can think of resistance like friction, air resistance, or viscous drag (motion is being opposed)

Conductors offer almost no resistance, while insulators have high resistance. Resistors are between these two extremes.

How well did you know this?
1
Not at all
2
3
4
5
Perfectly
13
Q

What are resistors?

A

Resistors are conductive materials with a moderate amount of resistance that slow down electrons without stopping them.

How well did you know this?
1
Not at all
2
3
4
5
Perfectly
14
Q

(Equation) What is the equation for resistance?

A

R= resistance (measured in Ohms (Ω).
L= length of the resistor
ρ= resistivity- characterizes the intrinsic resistance to current flow
A= cross sectional area.

How well did you know this?
1
Not at all
2
3
4
5
Perfectly
15
Q

(Equation) What is Ohm’s law and what does it mean?

A

V=IR

V= voltage drop
I= current
R= magnitude of resistance

Ohm’s law states that for a given resistance, the magnitude of the current through a resistor is proportional to the voltage drop across the resistor.

How well did you know this?
1
Not at all
2
3
4
5
Perfectly
16
Q

What happens when you put resistors in a series? What happens if you put them in parallel?

A

Resistors in series are additive and sum together to create the total resistance of a circuit.

Resistors in parallel cause a decrease in equivalent resistance of a circuit.

How well did you know this?
1
Not at all
2
3
4
5
Perfectly
17
Q

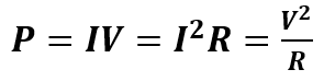
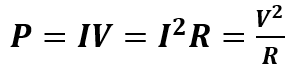
(Equation) What is the equation for power in a resistor?

A

P= Power
I= current through the resistor
V= voltage drop across the resistor
R= resistance of the resistor.

Real World: Because power equals voltage times current, power companies can manipulate these two values while keeping power constant. One option is to increase current, which results in a decrease in voltage. The other option would be to increase voltage, thus decreasing the current. Power lines are high-voltage lines, which allows them to carry a smaller current—thus decreasing the amount of energy lost from the system.

How well did you know this?
1
Not at all
2
3
4
5
Perfectly
18
Q

(Equation) How do you calculate the amount of resistance with resistors in a series?

A

Rtotal= R1 + R2 + R3

Key concept: When there is only one path for the current to take, the current will be the same at every point in the line, including through every resistor. Once you know the current of the whole circuit, you can use V=IR to solve for the voltage drop across each resistor (assuming that you know the resistance of the resistors).

19
Q

(Equation) How do you calculate the amount of resistance with resistors in parallel ?

20
Q

How should you approach circuit problems?

A
  1. Find the total values: voltage, resistance, and current.
  2. If you have voltage and current, you can find resistance.
  3. Then use the equation for resistance in series or parallel to calculate.
21
Q

How does adding or removing a resistor change the total resistance of a circuit with resistors in series? In parallel?

A

Series: Adding a resistor in series increases the total resistance of a circuit; removing one in series decreases the total resistance in the circuit.

Parallel: These relationships are reversed in parallel: adding a resistor decreases resistance while removing one increases it (because it’s inverse).

22
Q

What four physical quantities determine the resistance of a resistor?

A

Resistivity, length, cross-sectional area, and temperature all contribute to the resistance of a resistor.

23
Q

(Equation) What is the equation that relates power, current, voltage, and resistance?

24
Q

True or False: The internal resistance of a battery will lower the amount of current it can provide.

A

True. This is a restatement of Kirchhoff’s junction rule.

25
Problem: The circuit is set up with three resistors. The current has one branch through R1, then splits with R2 and R3 set up parallel to each other. If R1= 3 Ω, R2= 2 Ω, and R3= 6 Ω, what proportion of the total current will travel through each resistor? What will be the total resistance of the circuit?
**Total resistance will be 4.5 Ω** 3 + (1/3+1/2) 3+ (4/6) 3 + 6/4= 4.5Ω After you do the 1/r + 1/r, you have to flip it and add it to the total.
26
What are **capacitors**?
A capacitor is an electronic component used to store energy.
27
What is **capacitance**?
The ratio of the magnitude of the charge stored on one plate to the potential difference (voltage) across the capacitor. Capacitance in parallel plate capacitors is determined by the area of the plates and the distance between the plates.
28
What is the only way to change the capacitance of a capacitor?
You would need to *change the physical quality* of the capacitor (i.e. the material)
29
What does high and low capacitance mean?
A high capacitance means that it will store a lot of a charge, a low capacitance means that it won’t store much of a charge
30
**True or False**: you can increase the capacitance by increasing the charge.
False. If you increase the charge, the voltage will increase too, so the capacitance won’t change because it’s the same ratio. The only way to change the capacitance is to change the physical qualities of the capacitor.
31
**(Equation)** What is the equation for capacitance?
**C**= Capacitance **Q**= Charge (+Q on the positive plate and -Q on the negative plate) **V**= Voltage
32
**(Equation)** What is the equation for **capacitance** in a *parallel plate capacitor*?
**C**= capacitance **ε**= permittivity of free space (8.85 x 10-12 F/m) (F= farad= 1 C/V NOT faraday’s constant) **A**= the area of overlap of the two plates **d**= the separation of the two plates.
33
**(Equation)** What is the equation for the potential energy of the capacitor?
**U**= potential energy of capacitor **C**= capacitance **V**= voltage
34
**(Equation)** What is the equation for *capacitance due to a dielectric material*?
**C'=κC** **C’** = the new capacitance **κ**= dielectric constant **C**= original capacitance **Key Concept**: It’s important to note that a dielectric material can never decrease the capacitance; thus k can never be less than 1.
35
**(Equation)** What's the equation for **capacitors** that are added in **parallel**?
36
**(Equation)** What's the equation for **capacitors** that are added in **series**?
37
Assuming the plates are attached by a conducting material, how does a capacitor behave after the voltage sources has been removed from a circuit?
The capacitor discharges, providing a current in the opposite direction of the initial current.
38
How does a *dielectric material* impact capacitance? Voltage? Charge?
**Capacitance**: A dielectric material will always increase capacitance. **Voltage**: If the capacitor is isolated, its voltage will decrease when a dielectric material is introduced; if it is in a circuit, its voltage is constant because it is dictated by the voltage source. **Charge**: If a capacitor is isolated, the stored charge will remain constant because there is no additional source of charge; if it is in a circuit, the stored charge will increase.
39
How does **adding or removing** a capacitor change the total capacitance of a circuit with capacitors in series? In parallel?
**Series**: Adding a capacitor in series *decreases* the total capacitance of a circuit; removing one in series increases the total capacitance in the circuit. **Parallel**: a capacitor *increases* capacitance while removing one decreases it. (this is the opposite of series)
40
What **physical quantities** contribute to the **capacitance** of a capacitor?
Surface area, distance, and dielectric constant all contribute to the capacitance of a capacitor.
41
**True or False**: a voltmeter and an ammeter should not be placed in the same circuit.
**False**. Voltmeters and ammeters are designed to have minimum impact on a circuit; thus, they can be used together.
42
For a **Ammeter**: What does it measure? What is the ideal resistance? Where do you place it?
**Measures**: Current (I)= I=V/R **Ideal Resistance**= 0 **Placement**: In series the point of interest (insert it **into the lines**, it cannot just stay out and you touch the wires, you must break the circuit to insert it)
43
For a **Voltmeter**: What does it measure? What is the ideal resistance? Where do you place it?
**Measures**: Voltage= V=IR **Ideal Resistance**: infinity **Placement**: Parallel with circuit element of interest (you don’t have to break the circuit; it can sit outside of the circuit)
44
For a **Ohmmeter**: What does it measure? What is the ideal resistance? Where do you place it?
**Measures**: Resistance= R=V/I **Ideal Resistance**: 0 **Where do you place it**: Two points in series with circuit element of interest