7. Wave and Sounds EQUATIONS Flashcards

(11 cards)

1
Q

7 (Equation) What is the equation for the speed of sound in a given medium?

A

b=Bulk modulus (a measure of the medium’s resistance to compression)
ρ= density of the medium
v= speed of sound

Sound and air has like no resistance to compression. That’s why air propagates sound more slowly than solids.

What is the bulk modulus? The relevant elastic property is the bulk modulus, B. This tells us how much a medium’s volume changes when the pressure on it changes.

How well did you know this?
1
Not at all
2
3
4
5
Perfectly
2
Q

7 (Equation) What is the equation for the doppler effect?

A

f’=is the perceived frequency (Hz)
f= actual emitted frequency (Hz)
v= speed of sound in a medium (340 m/s)
vd= the speed of sound of the detector (you listening to the siren)
vs= speed of the source

Note both the + and – signs. The upper sign (+) should be used when the detector (you) is moving source is moving toward the other object (ambulance). The lower sign should be used when the detector (you) or source is moving away from the other object (ambulance).

How well did you know this?
1
Not at all
2
3
4
5
Perfectly
3
Q

7 (Equation) What is the equation for sound intensity, or loudness?

A

I= intensity (W/m2)
P= power (Watts)
A= area (m2)

Real world: the power delivered across the surface such as the tympanic membrane is equal to the product of the intensity I and the surface area A, assuming the intensity is uniformly distributed.

How well did you know this?
1
Not at all
2
3
4
5
Perfectly
4
Q

7 (Equation) What is the equation for intensity as it is converted to decibles.

A

β= sound level, measured in decibels (dB)
I= intensity of the sound (W/m2)
IO= threshold of hearing (1x10-12 W/m2)

How well did you know this?
1
Not at all
2
3
4
5
Perfectly
5
Q

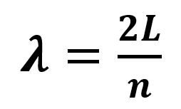
7 (Equation): What is the equation for the wavelength of a string?

A

λ= wavelength
L= length
n= the harmonic, which corresponds to the number of half-wavelengths supported by the string (easy way to remember: number of antinodes)

How well did you know this?
1
Not at all
2
3
4
5
Perfectly
6
Q

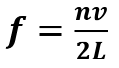
7 (Equation) What is the equation for the pitch of a standing wave of a string?

A

Pitch is a result of the frequency

f= frequency (Hz)
n= harmonic (number of antinodes)
v= speed of the wave (m/s)
L= length (m)

How well did you know this?
1
Not at all
2
3
4
5
Perfectly
7
Q

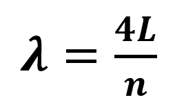
7 (Equation) What is the equation for wavelength of a sound wave in a closed pipe?

A

λ= wavelength of standing wave in closed pipe
L= length
n= the harmonic, which corresponds to the number of half-wavelengths supported by the string. This can only be odd integers (n= 1,3,5 and so on)

How well did you know this?
1
Not at all
2
3
4
5
Perfectly
8
Q

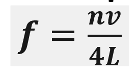
7 (Equation) Frequency or (pitch) of the standing wave in a closed pipe

A

f= frequency
v= speed of the wave
L= length
n= the harmonic, which corresponds to the number of half-wavelengths supported by the string. This can only be odd integers (n= 1,3,5 and so on)

How well did you know this?
1
Not at all
2
3
4
5
Perfectly
9
Q

7 (Equations): Write out the equation for wavelength and pitch (frequency) for closed pipes and strings.

A
How well did you know this?
1
Not at all
2
3
4
5
Perfectly
10
Q

7 (Equation) What is the equation to convert linear frequency to angular frequency (radians)?

A

ω=2πf

ω= angular frequency (radians)
f= linear frequency (Hz)

How well did you know this?
1
Not at all
2
3
4
5
Perfectly
11
Q

7 (Equation) What is the equation for the velocity of a wave?

A

v= fλ

v= Velocity of the wave (m/s)
f= linear frequency (Hz)
λ= wavelength (m)

How well did you know this?
1
Not at all
2
3
4
5
Perfectly