4.3 - classification And Evolution Flashcards

(139 cards)

1
Q

What is the practice of biological classification called?

A

Taxonomy

Taxonomy helps in arranging species into groups based on evolutionary origins and relationships.

How well did you know this?
1
Not at all
2
3
4
5
Perfectly
2
Q

What is a taxon?

A

A group in biological classification

The plural of taxon is taxa.

How well did you know this?
1
Not at all
2
3
4
5
Perfectly
3
Q

What is the purpose of grouping organisms into taxa?

A

To make them easier to understand and remember

How well did you know this?
1
Not at all
2
3
4
5
Perfectly
4
Q

What is the lowest taxonomic rank in the classification system?

A

Species

How well did you know this?
1
Not at all
2
3
4
5
Perfectly
5
Q

What taxonomic rank do similar species belong to?

A

Genus

The plural of genus is genera.

How well did you know this?
1
Not at all
2
3
4
5
Perfectly
6
Q

What taxonomic rank do similar genera belong to?

A

Family

How well did you know this?
1
Not at all
2
3
4
5
Perfectly
7
Q

What taxonomic rank do similar families belong to?

A

Order

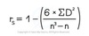
How well did you know this?
1
Not at all
2
3
4
5
Perfectly
8
Q

What taxonomic rank do similar orders belong to?

A

Class

How well did you know this?
1
Not at all
2
3
4
5
Perfectly
9
Q

What taxonomic rank do similar classes belong to?

A

Phylum

The plural of phylum is phyla.

How well did you know this?
1
Not at all
2
3
4
5
Perfectly
10
Q

What taxonomic rank do similar phyla belong to?

A

Kingdom

How well did you know this?
1
Not at all
2
3
4
5
Perfectly
11
Q

What is the highest taxonomic rank in the classification system?

A

Domain

How well did you know this?
1
Not at all
2
3
4
5
Perfectly
12
Q

What is the taxonomic hierarchy?

A

A system of ranks in biological classification

How well did you know this?
1
Not at all
2
3
4
5
Perfectly
13
Q

Fill in the blank: The first letters of the different ranks below the domains can be remembered as _______.

A

Kinky penguins can orgasm from gentle stroking

How well did you know this?
1
Not at all
2
3
4
5
Perfectly
14
Q

What is a species?

A

A group of organisms that are able to reproduce to produce fertile offspring

This definition emphasizes the reproductive capability of organisms within a species.

How well did you know this?
1
Not at all
2
3
4
5
Perfectly
15
Q

What are binomials?

A

The scientific names given to individual species

Binomials provide a standardized way to identify species universally.

How well did you know this?
1
Not at all
2
3
4
5
Perfectly
16
Q

What does a binomial consist of?

A

The organism’s genus and species name

This structure helps in the classification and identification of species.

How well did you know this?
1
Not at all
2
3
4
5
Perfectly
17
Q

Why are binomials useful for scientists?

A

They allow for species to be universally identified

The universality of binomials reduces confusion in scientific communication.

How well did you know this?
1
Not at all
2
3
4
5
Perfectly
18
Q

What is taxonomy?

A

The practice of biological classification

Involves placing organisms into a series of categories or taxa.

How well did you know this?
1
Not at all
2
3
4
5
Perfectly
19
Q

What is the highest rank in the hierarchical classification system used in biology?

A

Domain

How well did you know this?
1
Not at all
2
3
4
5
Perfectly
20
Q

How many domains of life are there?

A

Three

How well did you know this?
1
Not at all
2
3
4
5
Perfectly
21
Q

What are the two cell types involved in the classification of organisms?

A
  • Prokaryotic cells
  • Eukaryotic cells
How well did you know this?
1
Not at all
2
3
4
5
Perfectly
22
Q

What distinguishes prokaryotic cells from eukaryotic cells?

A

Prokaryotic cells lack a nucleus

How well did you know this?
1
Not at all
2
3
4
5
Perfectly
23
Q

What are the three domains of life?

A
  • Bacteria (prokaryotes)
  • Archaea (prokaryotes)
  • Eukarya (eukaryotes)
How well did you know this?
1
Not at all
2
3
4
5
Perfectly
24
Q

What are organisms in the Archaea domain sometimes referred to as?

A

Extremophile prokaryotes

How well did you know this?
1
Not at all
2
3
4
5
Perfectly
25
What unique properties separate Archaea from Bacteria?
* Unique lipids in cell membranes * No peptidoglycan in cell walls * Ribosomal structure similar to eukaryotes * DNA transcription more similar to eukaryotes
26
What characterizes organisms in the Eukarya domain?
Eukaryotic cells with nuclei and membrane-bound organelles
27
What are the membrane lipids in Archaea composed of?
Branched hydrocarbon chains bonded to glycerol by ether linkages
28
How do the membrane lipids of Bacteria differ from those of Archaea?
Unbranched hydrocarbon chains bonded to glycerol by ester linkages
29
What type of ribosomes do both Archaea and Bacteria possess?
70S ribosomes
30
Do Archaea have peptidoglycan in their cell walls?
No
31
What is phylogeny?
The evolutionary history of organisms ## Footnote Phylogeny is crucial for understanding the relationships between different species based on their evolutionary past.
32
How do modern scientists classify organisms?
Based on phylogeny rather than shared visible features ## Footnote This approach reflects a more accurate understanding of evolutionary relationships.
33
What does it mean to classify organisms according to their phylogeny?
Species that share a more recent common ancestor are classified together ## Footnote This contrasts with older methods that grouped organisms based on observable traits.
34
What advances have improved phylogenetic classification?
DNA, RNA, and protein sequencing ## Footnote These technologies provide more accurate classification than visible characteristics.
35
What are the three types of sequence data used to investigate evolutionary relationships?
* DNA * mRNA * Amino acids (of a protein) ## Footnote Each type of data plays a role in understanding the genetic relationships between organisms.
36
What is the significance of sequencing technology in classification?
It determines the order of DNA bases, mRNA bases, and amino acids ## Footnote This allows for comparisons with extinct species and distinguishing closely related species.
37
What is a key protein often used for comparison in phylogenetic studies?
Cytochrome c ## Footnote It is essential for respiration and is present in all eukaryotic organisms, providing a common reference point.
38
What can be said about sequence similarity among species?
The more similar the sequences, the more closely related the species are ## Footnote This principle helps to estimate evolutionary relatedness.
39
What does a greater amount of time since species separation imply about their sequences?
They have accumulated more mutations and changes ## Footnote This leads to greater differences in DNA, mRNA, and amino acid sequences.
40
How is DNA extracted for phylogenetic analysis?
From the nuclei of cells taken from an organism ## Footnote This can be done using blood or skin samples from living organisms or fossils.
41
What does the term 'evolution' refer to?
The general theory of evolution, which describes how species have changed over time and continue to change.
42
What is the theory of evolution by natural selection?
A specific process by which evolution occurs.
43
Who contributed to the development of the theory of evolution by natural selection?
Charles Darwin and Alfred Russel Wallace.
44
What were Darwin's key observations
- All organisms produce more offspring than could ever actually survive. - populations fluctuate but not significantly - offspring inherit characteristics from their parents
45
What does intraspecific variation refer to?
Variation in characteristics between individuals of the same species.
46
What are two key sources of evidence for the theory of evolution by natural selection?
Fossil evidence and molecular evidence.
47
What are fossils?
Preserved remains of organisms or features left by organisms, such as footprints, burrows, and faeces.
48
How do fossils provide evidence for evolution?
They show that environments and organisms have changed significantly over millions of years.
49
What can be determined by dating fossils?
The sequence of fossil organisms from oldest to youngest.
50
What does molecular evidence for evolution involve?
Sequencing DNA found in the nucleus of cells to provide evidence of evolutionary relationships between species and how the genetic code has changed
51
What can DNA sequence analysis be used for?
To create phylogenetic trees that show the evolutionary relationships between species.
52
What does the term variation refer to?
Differences between living organisms ## Footnote Variation can occur between different species or within a single species.
53
What are the two main types of variation?
Interspecific and intraspecific variation ## Footnote Interspecific variation exists between individuals of different species, while intraspecific variation exists within the same species.
54
Define interspecific variation.
Variation that exists between individuals of different species ## Footnote It can be useful for classifying organisms into species groups.
55
How can different species show variation?
Through clear phenotypic differences that help differentiate them ## Footnote Some species may be difficult to distinguish due to specific phenotypes, necessitating genetic variation for classification.
56
Define intraspecific variation.
Variation that exists between individuals of the same species ## Footnote These differences are typically smaller than those found between different species.
57
What role does variation within a species play?
It allows natural selection to occur.
58
What is discontinuous variation?
Differences that fall into discrete and distinguishable categories with no intermediates ## Footnote Example: ABO blood groups in humans.
59
How can discontinuous variation be represented graphically?
Using a bar chart with clearly distinct bars.
60
What is continuous variation?
Differences that show a range of values and can fall anywhere between two extremes ## Footnote Example: body mass and height.
61
How can continuous variation be graphically represented?
On a histogram with bars that touch each other, often showing a bell-shaped curve.
62
What causes variation?
Genetic factors, environmental factors, or a combination of both.
63
What causes discontinuous variation?
It occurs solely due to genetic factors ## Footnote The environment has no direct effect.
64
What causes continuous variation?
It is caused by an interaction between genetics and the environment.
65
What are polygenes?
A large number of genes that have a combined effect on the phenotype.
66
How can environmental factors influence phenotypic variation?
They can cause individuals with the same genetic information to exhibit different traits in different conditions.
67
What environmental factors can affect organism growth and development?
* Length of sunlight hours * Supply of nutrients * Availability of water * Temperature range * Oxygen levels
68
What types of changes can be inherited?
Only alterations to the genetic component of gametes.
69
Provide an example of environmental variation.
An accident may lead to scarring on the body.
70
What is the definition of mean in biology?
A mean value is what is usually meant when the term 'average' is used in biology ## Footnote The mean is calculated as the sum of all measurements divided by the number of measurements.
71
How is the mean calculated?
Mean = sum of all measurements ÷ number of measurements ## Footnote This formula allows for the determination of the average value in a data set.
72
What issue can arise when calculating the mean?
Problems with the mean occur when there are one or two unusually high (or low) values in the data (outliers) ## Footnote These outliers can skew the mean, making it unrepresentative of the data set.
73
What symbol is sometimes used to represent the mean in calculations?
X̄ ## Footnote This symbol is commonly used in statistics to denote the mean.
74
What does standard deviation measure?
Standard deviation measures the spread of data around the mean value ## Footnote It indicates how much individual data points differ from the mean.
75
Why is standard deviation useful?
It is very useful when comparing consistency between different data sets ## Footnote A lower standard deviation indicates that the data points are closer to the mean, while a higher standard deviation indicates more variability.
76
What must be calculated before working out the standard deviation?
The mean must be calculated before working out the standard deviation ## Footnote This is necessary because standard deviation is based on the mean value of the data set.
77
Formula for standard deviation
78
What is the purpose of the t-test?
To compare the means of two sets of data and determine whether they are significantly different or not ## Footnote The t-test is commonly used in statistics for hypothesis testing.
79
What conditions must the data sets meet to perform a t-test?
The data sets must follow a rough normal distribution, be continuous, and have approximately equal standard deviations ## Footnote These conditions ensure the validity of the t-test results.
80
What must be calculated for each data set before performing a t-test?
The standard deviation (s) ## Footnote Standard deviation is essential for assessing the variability of the data.
81
What is a null hypothesis in the context of a t-test?
A statement of what we would expect if there is no significant difference between two means, and differences are due to chance ## Footnote The null hypothesis serves as a starting point for statistical testing.
82
What can be concluded if there is a statistically significant difference between the means of two data sets?
The observation is not due to chance, and the null hypothesis can be rejected ## Footnote This indicates that there is evidence to suggest a true difference between the groups.
83
Formula for t test
84
What does Spearman’s rank correlation determine?
Correlation between variables that don’t show a normal distribution ## Footnote Spearman's rank correlation is particularly useful for ordinal data.
85
What is the purpose of referring to a table in Spearman’s rank correlation?
To relate critical values of rs to levels of probability ## Footnote This table helps determine whether the correlation is statistically significant.
86
When can the null hypothesis be rejected in Spearman’s rank correlation?
When the calculated value for Spearman’s rank is greater than the critical value at the 0.05 probability level ## Footnote This indicates a statistically significant correlation between the two variables.
87
Fill in the blank: The null hypothesis typically states that there is _______ between the variables.
no correlation
88
Steps to calculate spearman’s rank
Step 1: Create a scatter graph and identify possible linear correlation Step 2: State a null hypothesis Step 3: Use the following equation to work out Spearman’s rank correlation coefficient r Step 4: Refer to a table that relates critical values of rs to levels of probability
89
How to calculate spearman’s rank
Where: rs = spearman’s rank coefficient D = difference in rank n = number of samples
90
What is the definition of adaptation?
A characteristics that aids an organism's survival in its environment.
91
What are the three main types of adaptations?
* Anatomical * Physiological * Behavioural
92
What is an anatomical adaptation?
Physical features of an organism.
93
What is a physiological adaptation?
Biological processes within an organism.
94
What is a behavioural adaptation?
The way an organism behaves.
95
What is convergent evolution?
Organisms from different taxonomic groups may show similar adaptations.
96
What causes shared adaptations between unrelated organisms?
Convergent evolution.
97
How does convergent evolution occur?
By natural selection when two species live in similar environments.
98
What happens to species facing the same selection pressures?
The same characteristics become advantageous.
99
What is the outcome of advantageous characteristics in convergent evolution?
They become widespread in both populations over time.
100
What is genetic variation?
Differences in DNA base sequences between individual organisms within a species population ## Footnote Genetic variation results in genetic diversity within a species and is transferred from one generation to the next.
101
Why is genetic diversity important for natural selection?
There needs to be some level of genetic diversity within a population for natural selection to occur.
102
What results from differences in the alleles possessed by individuals within a population?
Differences in phenotypes ## Footnote Some phenotypes may be advantageous, disadvantageous, or neutral compared to others.
103
What are selection pressures?
Factors that increase the chance of individuals with a specific phenotype surviving and reproducing over others.
104
How is fitness defined in the context of natural selection?
The ability of an organism to survive and pass on its alleles to offspring.
105
What does a population with a large gene pool indicate?
A strong ability to adapt to change.
106
What happens to a population with a small gene pool?
They are much less able to adapt to changes in the environment and can become vulnerable to extinction.
107
What is the consequence of low genetic variation in a species?
The species is less likely to respond (survive) in the event of environmental changes.
108
What role do environmental factors play in natural selection?
They affect the chance of survival of an organism, acting as a selection pressure.
109
What would happen if all offspring of every individual in a population survived to adulthood?
The population would experience exponential growth.
110
What type of growth occurs without environmental factors or population checks?
Exponential growth.
111
What can prevent every individual in a population from reaching adulthood?
Environmental factors.
112
What is one main process resulting in natural selection?
Random mutation can produce new alleles of a gene.
113
What happens to new alleles that are beneficial under certain environmental conditions?
They may increase the chance of survival and reproductive success.
114
What occurs to an advantageous allele over several generations?
It increases in frequency in the population.
115
What are antibiotics?
Chemical substances that inhibit or kill bacterial cells with little or no harm to human tissue ## Footnote Antibiotics are derived from naturally occurring substances that are harmful to prokaryotic cells but usually do not affect eukaryotic cells.
116
How does a mutation in a bacterial genome contribute to antibiotic resistance?
It can give rise to a nucleotide sequence that codes for a protein not affected by the antibiotic ## Footnote This allows resistant bacteria to survive and reproduce.
117
What is the result of antibiotic-resistant bacteria reproducing in the absence of competition?
The genes for antibiotic resistance are passed on with greater frequency to the next generation.
118
What is an example of evolution by natural selection in bacteria?
The development of antibiotic resistance ## Footnote This occurs as antibiotic-resistant bacteria are better suited to their environment.
119
What are the two ways bacteria inherit antibiotic resistance?
Vertical transmission and horizontal transmission.
120
Describe vertical transmission in bacteria.
Bacteria reproduce asexually by binary fission, passing on mutant genes to all descendants.
121
What role do plasmids play in antibiotic resistance?
They often contain antibiotic-resistant genes that can be transferred between bacteria.
122
What is conjugation in bacteria?
The process where a thin tube forms between two bacteria to allow the exchange of DNA.
123
What is a 'superbug'?
A bacterium that has multiple antibiotic resistances, such as MRSA (methicillin-resistant Staphylococcus aureus).
124
What human actions have contributed to the development of antibiotic resistance?
Overuse of antibiotics, incorrect use, and not finishing prescribed courses.
125
List some steps to reduce antibiotic resistance.
* Only prescribe antibiotics when necessary * Ensure patients complete courses * Rotate antibiotic types used * Reserve some antibiotics as a last resort * Invest in research for new antibiotics.
126
What are pesticides?
Chemicals that kill pests of any kind, including insect pests, pathogenic organisms, or weeds.
127
What are the various types of pesticides?
* Insecticides * Herbicides * Fungicides * Molluscicides * Rodenticides.
128
What is a selective agent?
Any environmental factor that influences the survival of a particular species and drives natural selection.
129
How do insecticides act as selective agents?
They kill non-resistant insects, allowing resistant insects to survive and reproduce.
130
What are antibiotic-resistant strains?
Strains of bacteria that have evolved to survive exposure to antibiotics ## Footnote They pose a major problem in human medicine.
131
What causes the emergence of new antibiotic-resistant strains?
The overuse of antibiotics exerting selective pressure on bacteria ## Footnote This supports the evolution of antibiotic resistance.
132
Why is finding new antibiotics challenging?
It is expensive and time-consuming ## Footnote Scientists are trying to find antibiotics that bacteria have not yet been exposed to.
133
What is MRSA?
Methicillin-resistant Staphylococcus aureus ## Footnote A strain of Staphylococcus aureus resistant to methicillin and other antibiotics.
134
What is horizontal transmission in the context of antibiotic resistance?
The passing of resistance genes from non-pathogenic bacteria to pathogenic species ## Footnote This can lead to new resistant strains of pathogenic bacteria.
135
What are some ways to prevent antibiotic resistance?
* Tighter controls on antibiotic sales * Avoiding overuse in prescriptions * Testing bacteria before prescribing * Not using antibiotics for non-serious infections * Completing prescribed antibiotic courses * Reducing use of broad-spectrum antibiotics * Changing prescribed antibiotics regularly * Reducing use in agriculture ## Footnote These measures aim to limit the development and spread of resistance.
136
How can the spread of resistant strains be limited?
* Ensuring good hygiene practices * Isolating infected patients ## Footnote These practices have shown to reduce resistant strains like MRSA in hospitals.
137
What is pesticide resistance?
The ability of pest insects to survive exposure to pesticides ## Footnote It threatens future food supplies, especially in regions facing food shortages.
138
What practices can delay the emergence of pesticide resistance?
* Using insecticides sparingly * Rotating insecticides * Using a combination of pesticides ## Footnote These methods help manage pest populations effectively.
139
What are some alternative pest control methods?
* Biological control * Using pest-resistant crops ## Footnote These methods include introducing natural predators or genetically modified crops.