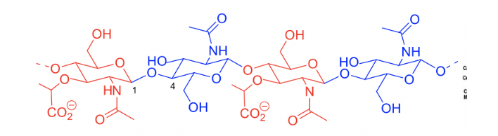
What is the bacterial wall comprised of?
The bacterial cell wall is comprised of a cross-linked polymer of alternating Beta (1–> 4)- linked N-acetylglucosamine (NAG) and N-acetylmuramic acid (NAM)

where is the enzyme lysozyme found and what does it catalyse?
Found in tears, saliva, breast milk and mucous
catalyses the hydrolysis of the beta (1 –> 4)- glycosidic linkage

The C=O bond is referred to as the carbonyl group.
What are the 5 basic functional carbonyl groups?

Why is the C=O polarised?
The oxygen is more electronegative than carbon

What reactions do carbonyl compounds tend to undergo?
Draw the basic example of this reaction
Nucleophilic addition

When the carbonyl group is polarised, draw the most stable structure thats produced
The +ve carbon is more stable than the +ve OH group

Draw the general structure of acetals

Draw the reactions for how acetals can be formed, the products and the catalyst
Acetal formation is an acid-catalysed and reversible dehydration

What is the Dean and stark trap used for in acetals ?
it is a specialised piece of glassware thats used for continuously removing water formed in a chemical reaction e.g. acetal formation
Complete the following reactions


Complete the following reaction


The mechanism of acetal formation has how many steps?
7 and there is an hemiacetal intermediate
The first part of acetal formation is hemiacetal formation.
What are the first 3 steps of the overall reaction?

The second part of acetal formation is forming the acetal from the hemiacetal. What are the 4 steps of this reaction?

Protonation serves to ‘activate’ a molecule towards the next step.
Explain how this helps acetal formation and in what steps it occurs

Nucleophilic attack takes place upon what ion?
An oxonium ion
Stability of resonance structures

How is it known that the final Acetal structure has oxygen from the alcohol present in its structure?

Are all the steps to the formation of an acetal reversible?
yes

Complete the reaction


Complete this reaction

Have to protonate to activate the ROR carbon and make the O +ve

What is Cellobiose formed from?
How are the monomers linked?
It is a dissaccharide formed from two units of beta-D-glucopyranose linked by an acetal which is here termed Beta (1 –> 4) glycosidic linkage
Complete the table

