Tell me about ester hydrolysis and why they are important in metabolism?

Draw the different carboxyl functional groups?

Tell me about the characteristics of the carbonyl and the carboxyl group

Why is amide hydrolysis really important in the HIV life cycle?
Compare amide hydrolysis in biological and chemical processes (acidic and basic)

What type of media can carboxyl substitution occur in?
basic or acidic
Draw the mechanism for carboxyl substitution in basic conditions ?

The general mechanism (addition-elimination): under basic conditions

Draw the general mechanism for carboxyl substitution under acidic conditions?
How many steps are there to this mechanism?

Whats the first part of the mechanism of carboxyl substitution under acidic conditions?

Whats the second part of the mechanism of carboxyl substitution under acidic conditions?

Is the mechanism really addition-elimination?

Draw the mechanism of acid-catalysed ester hydrolysis to carboxylic acids

Learn this mechanism pathway and how they link and what conditions are required

Why can’t esters be formed from carboxylic acids under basic conditions?

Drae the mechanism for basic amide hydrolysis

Whats Chymotrypsin and what family does it belong to?
It is a digestive enzyme and is a member of the serine protease family
In Chymotrypsin, what in its active site is critical to its catalytic activity?
What does it catalyse?
The serine residue in the active site is critical to its catalytic activity
It catalyses hydrolysis of proteins in the small intestine

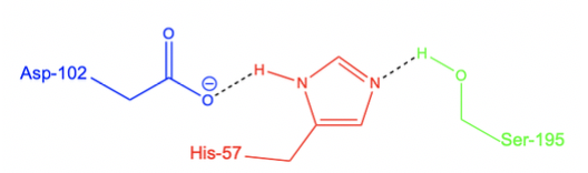
Whats the catalytic triad and draw it?

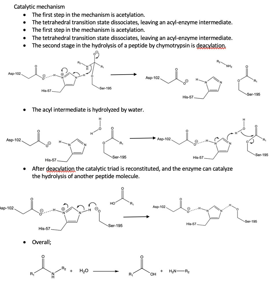
Whats the catalytic mechanism?

In the catalytic mechanism, how is the intermediate stabilised?

This shows the entire catalytic mechanism

What is substrate specificity determined by?
The properties and spatial arrangement of the amino acids forming the active site
How do small changes in the amino acid residues affect substrate specificity?
Small changes in the amino acid residues forming the active site will have a large effect on the substrate specificity of an enzyme.