Acid & Base Flashcards

(32 cards)

1
Q

monobasic or monoprotic / dibasic or diprotic / tribasic or triprotic

A

HCl is termed a monobasic or monoprotic acid because it releases ONE H+ ion on
dissociation.
Sulphuric acid (H2SO4) is diprotic.

How well did you know this?
1
Not at all
2
3
4
5
Perfectly
2
Q

Arrhenius Theory definition of acids & bases

A

substances which ionise or dissociate in aqueous solution to produce H+ (aq ions (i.e. protons).
Defined bases as substances which ionise or dissociate in aqueous solution to produce OH- (aq) ions.
E.g. For HCl —in pure form this is a covalent substance and a gas at room temperature and pressure — but when dissolved in water HCl molecules dissociate into H+ ions and Cl ions.

How well did you know this?
1
Not at all
2
3
4
5
Perfectly
3
Q

Bronsted-Lowry definition of acids and bases

A

Acids as Proton (H+) donors
Bases as Proton acceptors

How well did you know this?
1
Not at all
2
3
4
5
Perfectly
4
Q

What is a conjugate acid/base pair using HCI as an example

A

Pair of species that differ by one proton. The base can accept a proton to form the acid and the acid lose protons to become the base. E.g. HCl (acid) Cl- (base)

How well did you know this?
1
Not at all
2
3
4
5
Perfectly
5
Q

relative strengths of members of conjugate acid/base pairs, again using HCI as an example

A

Strong acids have weak conjugate bases (and vice versa). HCl has strong tendency to donate protons: it is a strong acid. The Cl- ion has poor ability to accept protons: it is a weak base.

How well did you know this?
1
Not at all
2
3
4
5
Perfectly
6
Q

what is the name of the H30 + ion

A

hydronium ion

How well did you know this?
1
Not at all
2
3
4
5
Perfectly
7
Q
A

Water acts both as an acid and a base. It is said to be amphoteric

How well did you know this?
1
Not at all
2
3
4
5
Perfectly
8
Q

Lewis Theory of Acids and Bases

A

Lewis red-defined acids/bases as:-
e An acid is an electron pair acceptor.
e A base is an electron pair donor

How well did you know this?
1
Not at all
2
3
4
5
Perfectly
9
Q

amphoteric substances

A
How well did you know this?
1
Not at all
2
3
4
5
Perfectly
10
Q

Kw

A

as temperature increases, Kw increases

How well did you know this?
1
Not at all
2
3
4
5
Perfectly
11
Q

Effect of temperature on ph of a solution

A
How well did you know this?
1
Not at all
2
3
4
5
Perfectly
12
Q

STRONG / weak ACIDS

A

STRONG acids:
VERY high proportion of molecules dissociate in solution
weak acids:
SMALL proportion of molecules dissociate in solution.

How well did you know this?
1
Not at all
2
3
4
5
Perfectly
13
Q

eqn relating PH & [H+]

A

[H+] = 10^-pH
pH = - log( [H+] )

How well did you know this?
1
Not at all
2
3
4
5
Perfectly
14
Q
A
How well did you know this?
1
Not at all
2
3
4
5
Perfectly
15
Q
A
How well did you know this?
1
Not at all
2
3
4
5
Perfectly
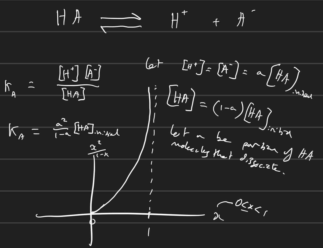
16
Q

Ka

A

as a increases, Ka increases, Acid strength increases

17
Q

Ka calculation example

18
Q

buffer solutions - how do acid buffers work

A

effect of adding acid H+ ions:
CHCOO- + H+ -> CH3COOH

effect of adding base (OH-) ions:
CH3COOH + OH- > CH3COO- + H2O

19
Q

basic buffer solutions

20
Q

Calculations involving buffer solutions compared to weak acid calculations

22
Q

PH curves and their types

23
Q

Definition Of terms to be aware of :-
Equivalence Point

A

Point at which the correct number of moles of acid/base have been added to react completely with the base/acid.

24
Q

Definition Of terms to be aware of :-
End Point

A

Point at which the indicator changes colour in a titration.

25
Definition Of terms to be aware of :- pH range, initial PH, final PH
pH range - Range of ph values covered by the near vertical section of the pH curve. initial PH - pH at the start of a titration final PH - pH at the end of a titration
26
ph curves - strong acid vs strong base - initial / final PH, PH range, PH at equivalence point, shape of graph
27
ph curves - weak acid vs strong base - initial / final PH, PH range, PH at equivalence point, shape of graph
28
ph curves - strong acid vs weak base - initial / final PH, PH range, PH at equivalence point, shape of graph
29
ph curves - weak acid vs weak base - initial / final PH, PH range, PH at equivalence point, shape of graph
30
calculating Ka of acids from titration curves
31
how do indicators work - methyl orange and phenolphthalein
32
indicators and PH range
Indicators need to change colour over a narrow PH range if they are to be useful. If an indicator is be effective in a titration its colour must change abruptly near the equivalence point of a titration. For this to happen the pH range of the indicator must co-incide with the near-vertical part of the pH curve so that a very small addition of titrant near the equivalence point gives a very large change in pH.