Advanced Quantum Algorithms Flashcards

(4 cards)

1
Q

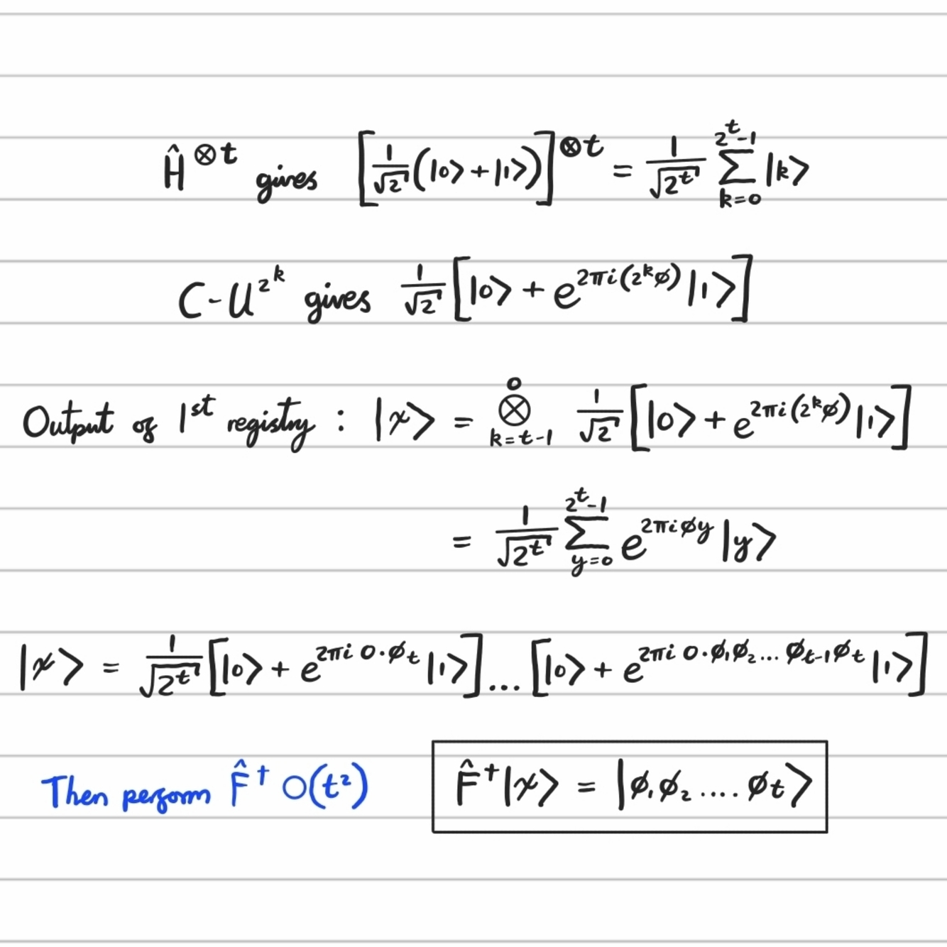
Give a rough overview of phase estimation.

A
How well did you know this?
1
Not at all
2
3
4
5
Perfectly
2
Q

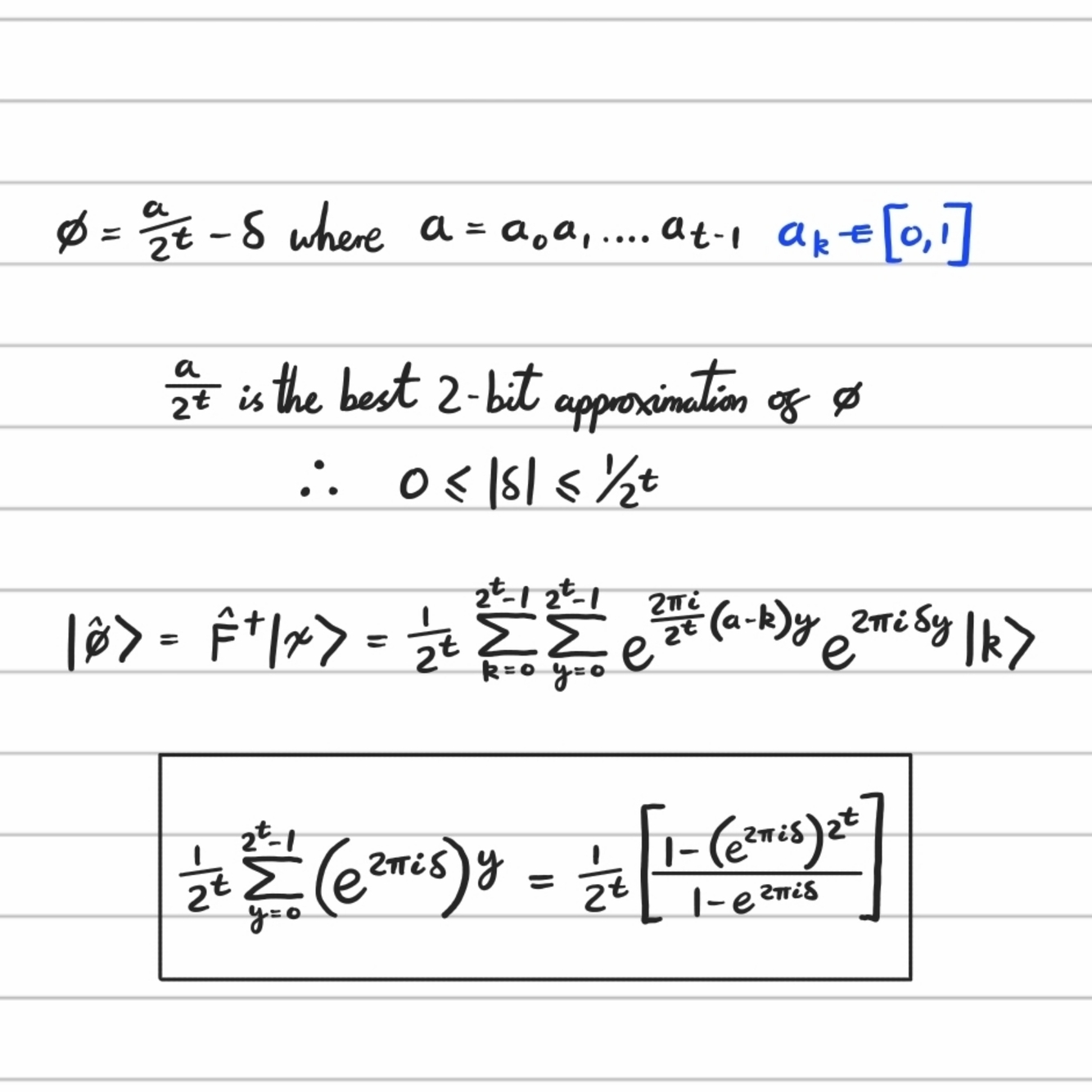
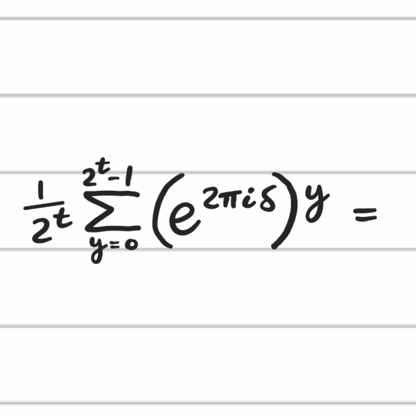
Assuming ∅ is between 0 and 1, what is the sum of our phase estimation function?

A
How well did you know this?
1
Not at all
2
3
4
5
Perfectly
3
Q

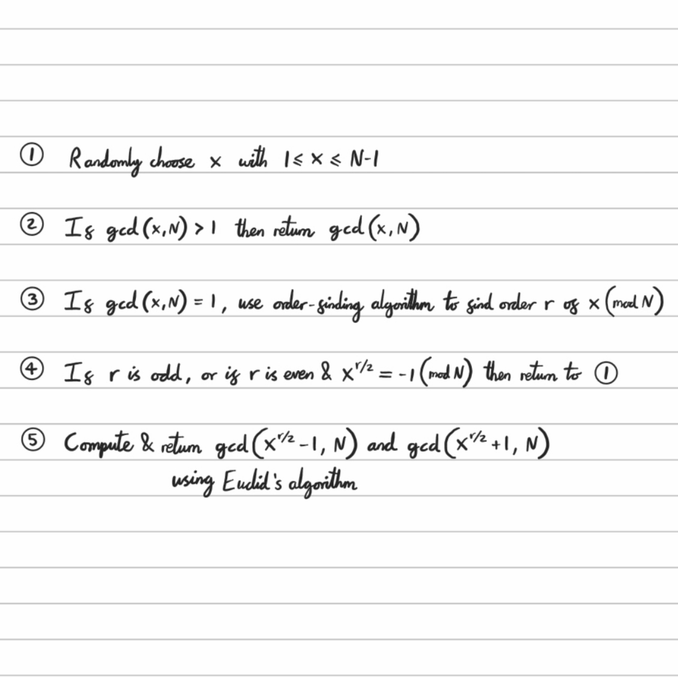
What is Shor’s algorithm to compute non-trivial factors of N?

A

O(L^4)

How well did you know this?
1
Not at all
2
3
4
5
Perfectly
4
Q

What is Euclid’s algorithm?

A
How well did you know this?
1
Not at all
2
3
4
5
Perfectly