Quantum Computing Basics Flashcards

(12 cards)

1
Q

What are the differences between unitary & measurement gates?

A
  • Unitary: Are reversible, includes all operations on a quantum circuit. It can act on any basis
  • Measurement: Are irrevserible, so must be specified statically (cannot depend dynamically on the state). It projects the state onto a basis with probabilities predicted by QM.
How well did you know this?
1
Not at all
2
3
4
5
Perfectly
2
Q

What does the following operator do?

A
How well did you know this?
1
Not at all
2
3
4
5
Perfectly
3
Q

What is a CNOT (or C-X) gate?

A
How well did you know this?
1
Not at all
2
3
4
5
Perfectly
4
Q

Given this defined space, what projection operators for the first qubit?

A
How well did you know this?
1
Not at all
2
3
4
5
Perfectly
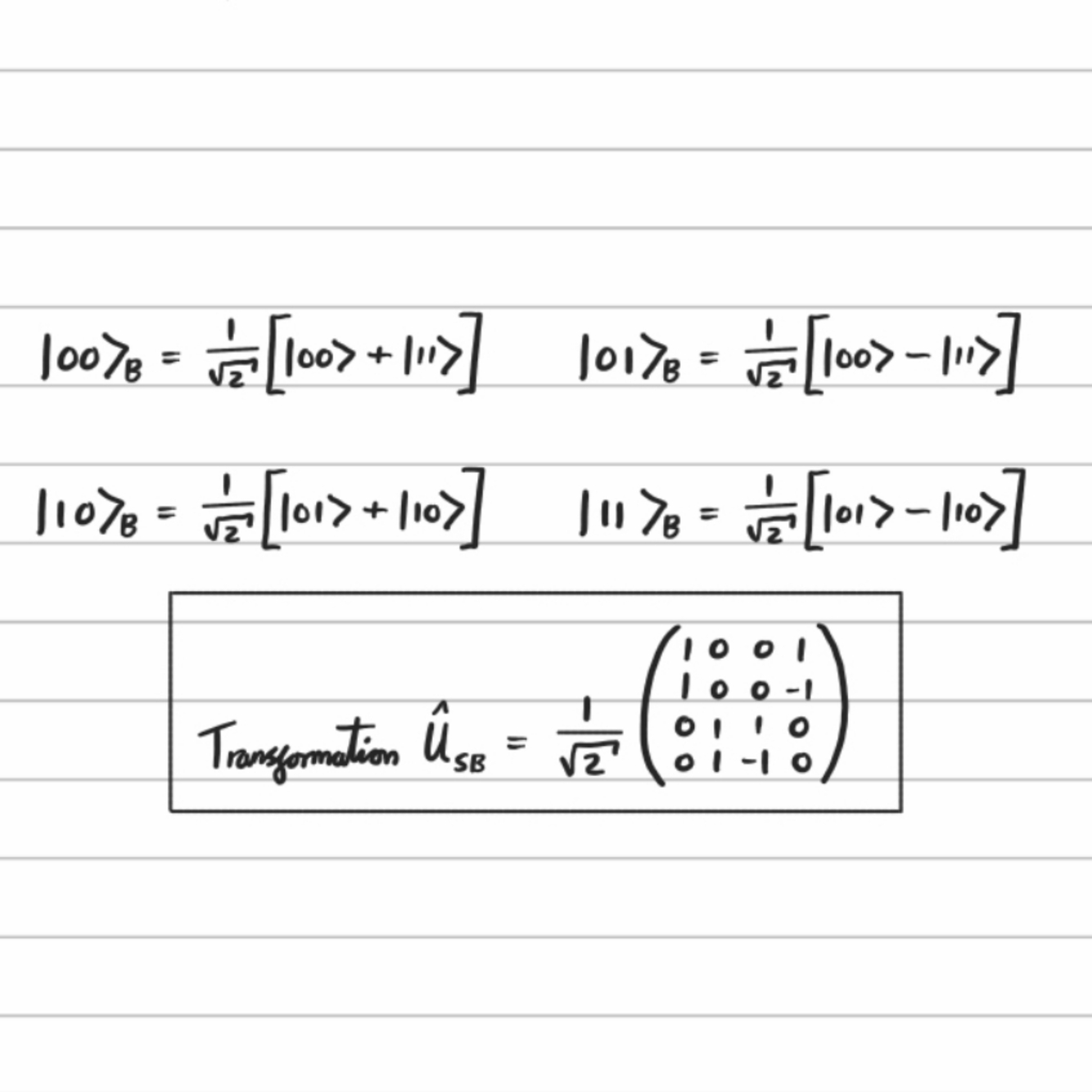
5
Q

What is the Bell’s basis?

A
How well did you know this?
1
Not at all
2
3
4
5
Perfectly
6
Q

How does superdense coding let you send bits of information with 1 qubit?

A
How well did you know this?
1
Not at all
2
3
4
5
Perfectly
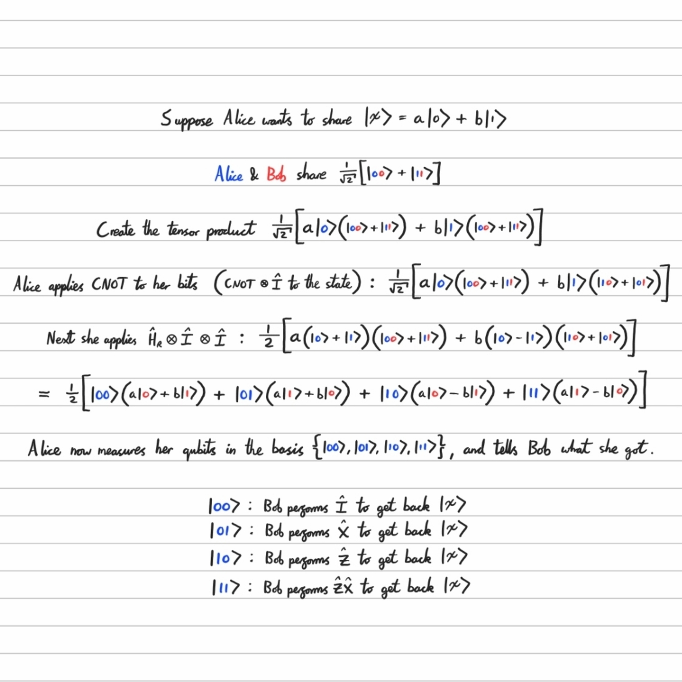
7
Q

How does quantum teleportation work?

A
How well did you know this?
1
Not at all
2
3
4
5
Perfectly
8
Q

What is a Toffoli gate?

A

A CC-X gate.

How well did you know this?
1
Not at all
2
3
4
5
Perfectly
9
Q

How do Toffoli gates create NAND and FANOUT gates, and what implication does this have?

A

This means that quantum computing can subsume all of classical computing.

How well did you know this?
1
Not at all
2
3
4
5
Perfectly
10
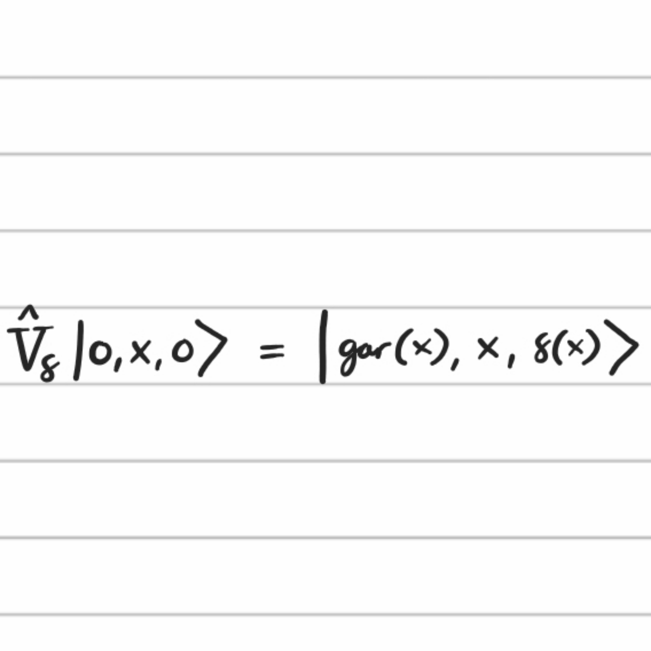
Q

Explain what ancilla and garbage qubits are. What is the method for eliminating garbage quibits?

A

Reconstructing classical algorithms on quantum circuits requires more qubits than the number of classical bits. We require ancilla qubits as a workspace for our calculation, and some garbage qubits than need to be elminated & returned to |0>.

How well did you know this?
1
Not at all
2
3
4
5
Perfectly
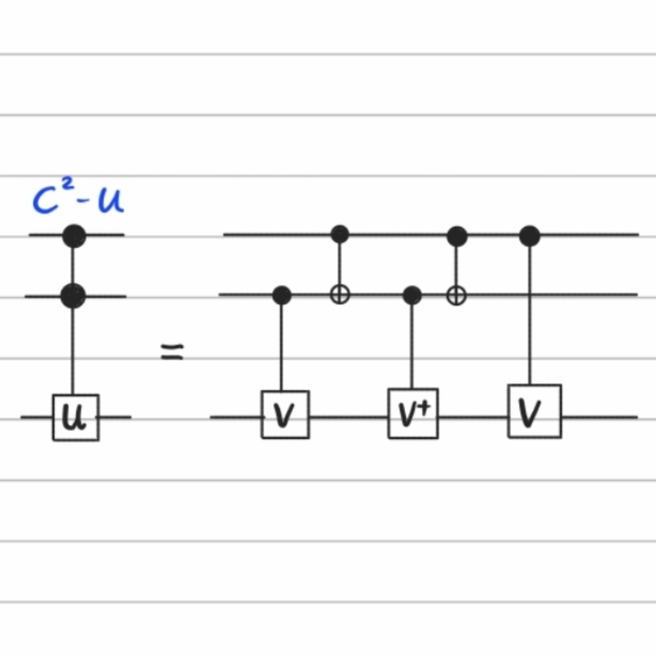
11
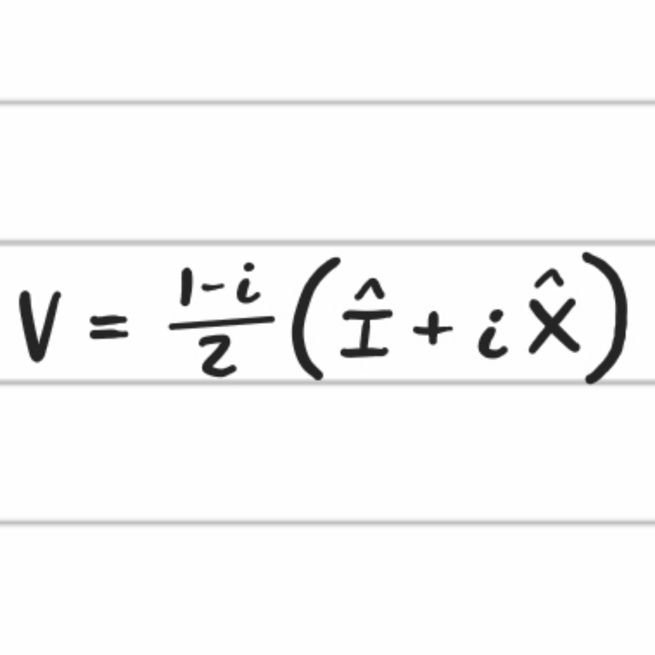
Q

How would you use Toffoli C-U gates to emulate a (C^n)-U gate?

A

Note: solution is not unique. (C^n)-U gates will work provided you have a function V such that V^2 = U.

How well did you know this?
1
Not at all
2
3
4
5
Perfectly
12
Q

How would you turn the following (C^n)-U circuit into a Toffoli gate?

A
How well did you know this?
1
Not at all
2
3
4
5
Perfectly