Simple Quantum Algorithms Flashcards

(9 cards)

1
Q

Define parallel computation.

A

The circuit computes all f(x) at once, though measurement only reveals one. To get more information out, interference is needed.

How well did you know this?
1
Not at all
2
3
4
5
Perfectly
2
Q

Describe Deutsch’s algorithm.

A
How well did you know this?
1
Not at all
2
3
4
5
Perfectly
3
Q

How does Deutsch’s algorithm extend to the Deutsch-Joza algorithm?

A

If f(x) = constant, the measurement produces |0>^n 100% of the time. If f(x) is balanced, measuring the query register will give at least one quibit.

How well did you know this?
1
Not at all
2
3
4
5
Perfectly
4
Q

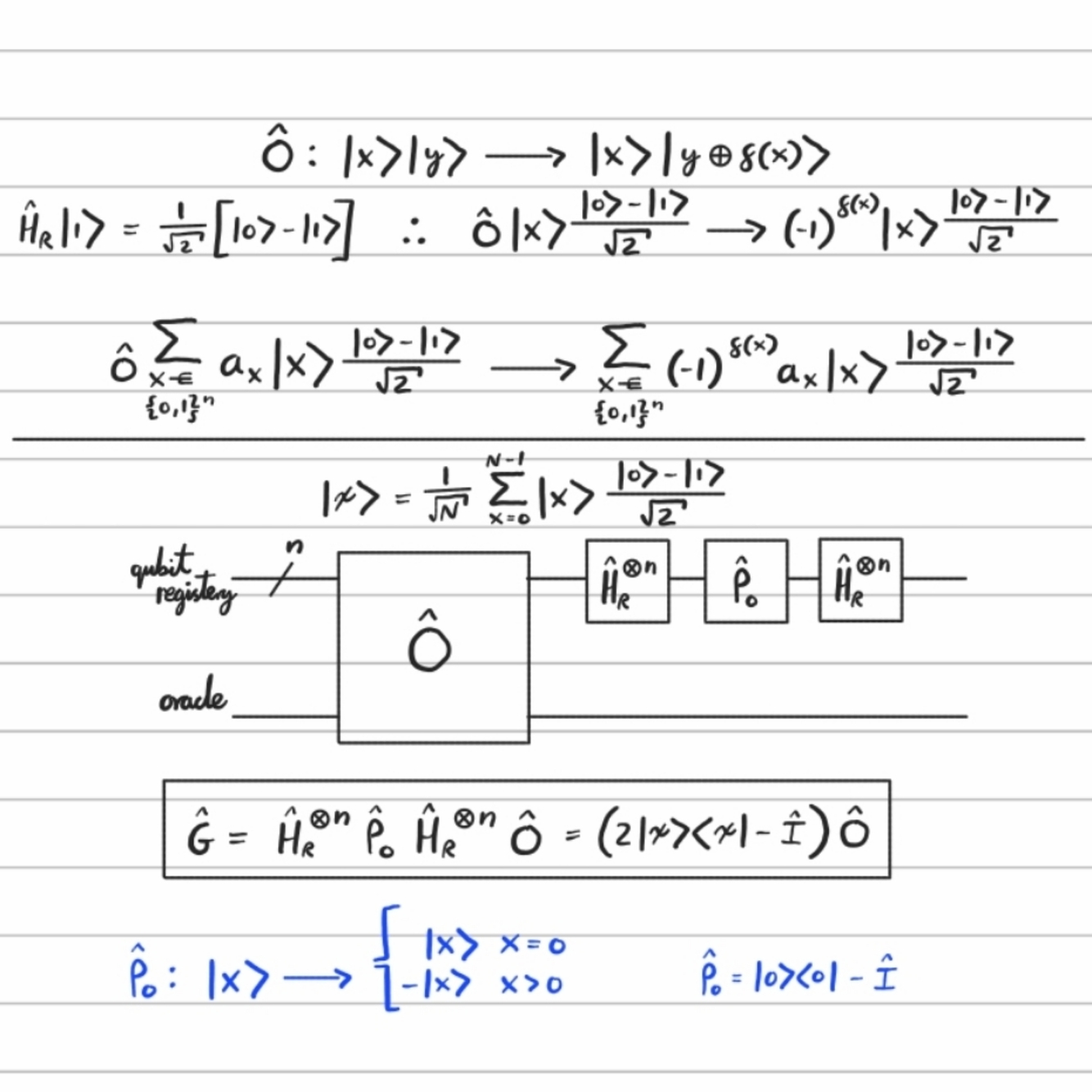
Explain Grover’s search algorithm

A
How well did you know this?
1
Not at all
2
3
4
5
Perfectly
5
Q

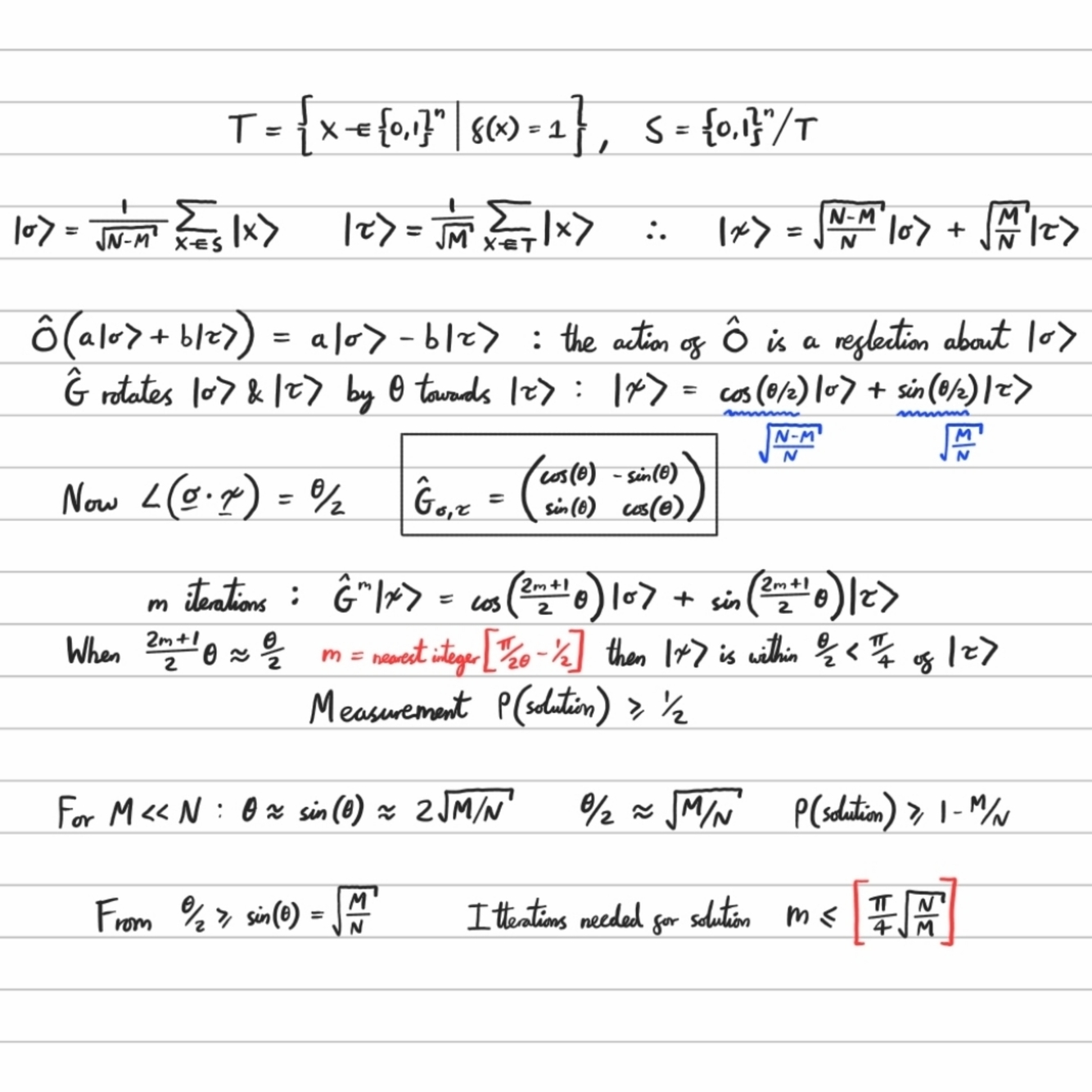
How can Grover’s search algorithm be treated as a rotation?

A
How well did you know this?
1
Not at all
2
3
4
5
Perfectly
6
Q

What would Grover’s search algorithm look like for n=2 and M=1. Include the upper bound on the number of itterations.

A
How well did you know this?
1
Not at all
2
3
4
5
Perfectly
7
Q

What would Grover’s search algorithm look like for n=2 and M=1. Include the upper bound on the number of itterations.

A
How well did you know this?
1
Not at all
2
3
4
5
Perfectly
8
Q

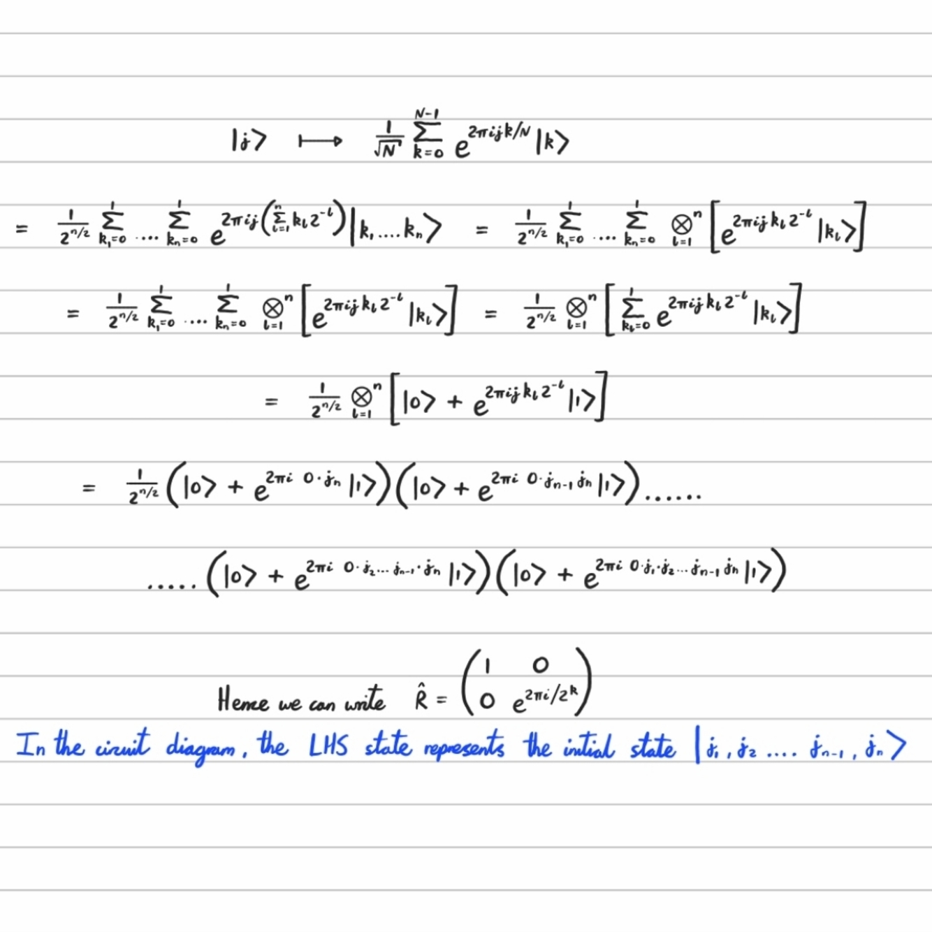
How does the quantum Fourier transform act on a state?

A
How well did you know this?
1
Not at all
2
3
4
5
Perfectly
9
Q

How would you verify the circuit diagram show is the Fourier transform circuit?

A
How well did you know this?
1
Not at all
2
3
4
5
Perfectly