Linear Algebra Flashcards

(19 cards)

1
Q

What is the matrix representation of the Hadamard rotation?

A
How well did you know this?
1
Not at all
2
3
4
5
Perfectly
2
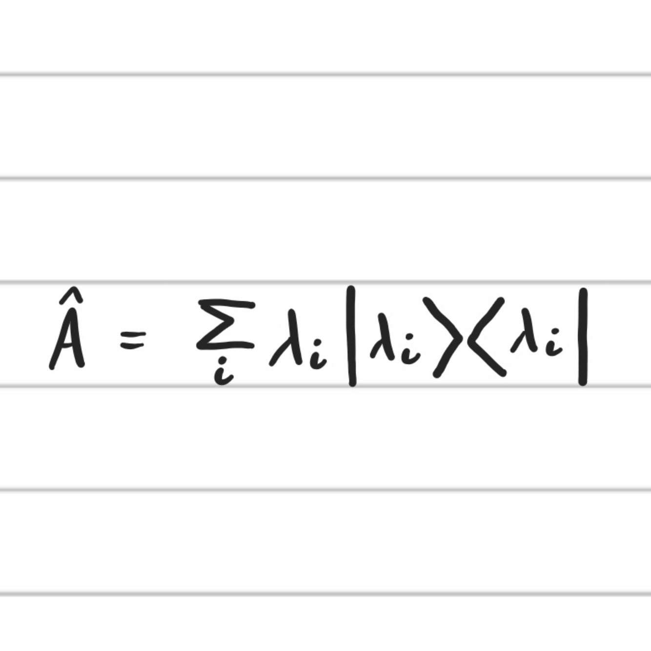
Q

What is the “complete eigenvector decomposition” of a (normal) matrix.

A

The matrix is diagonalised: written as a sum of its eigenvectors.

How well did you know this?
1
Not at all
2
3
4
5
Perfectly
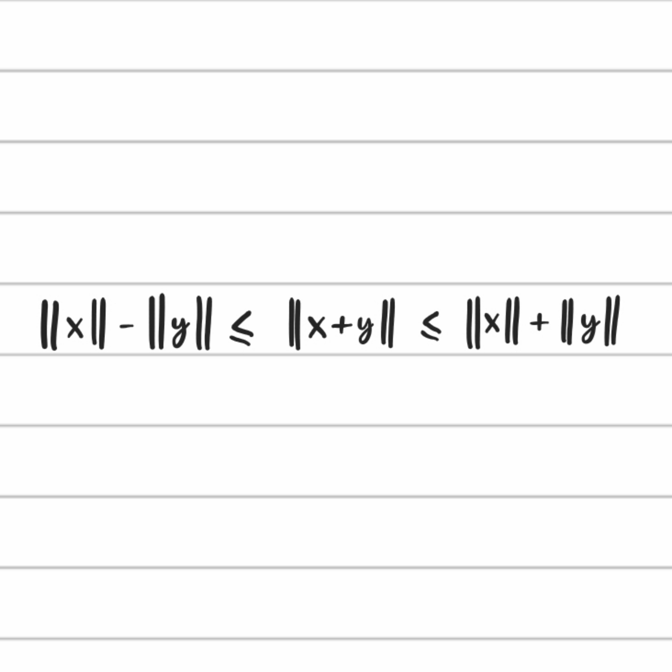
3
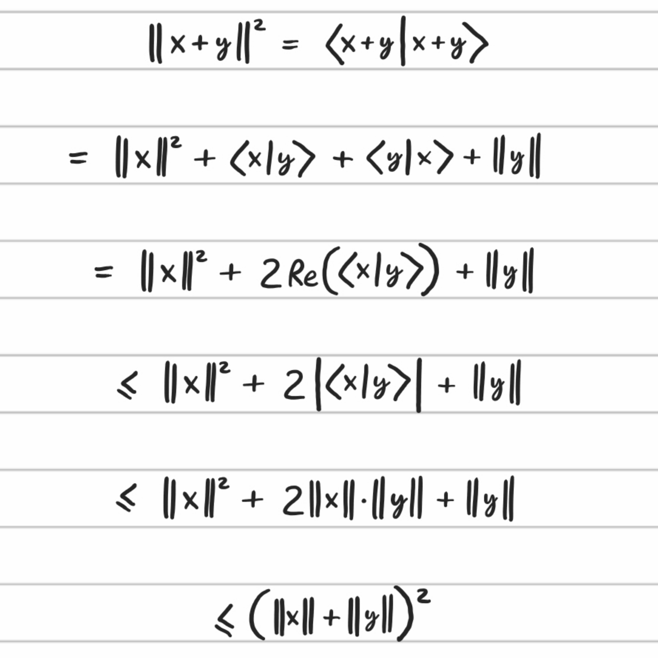
Q

Prove the following triangle inequality.

A

Take the square root of this argument.

How well did you know this?
1
Not at all
2
3
4
5
Perfectly
4
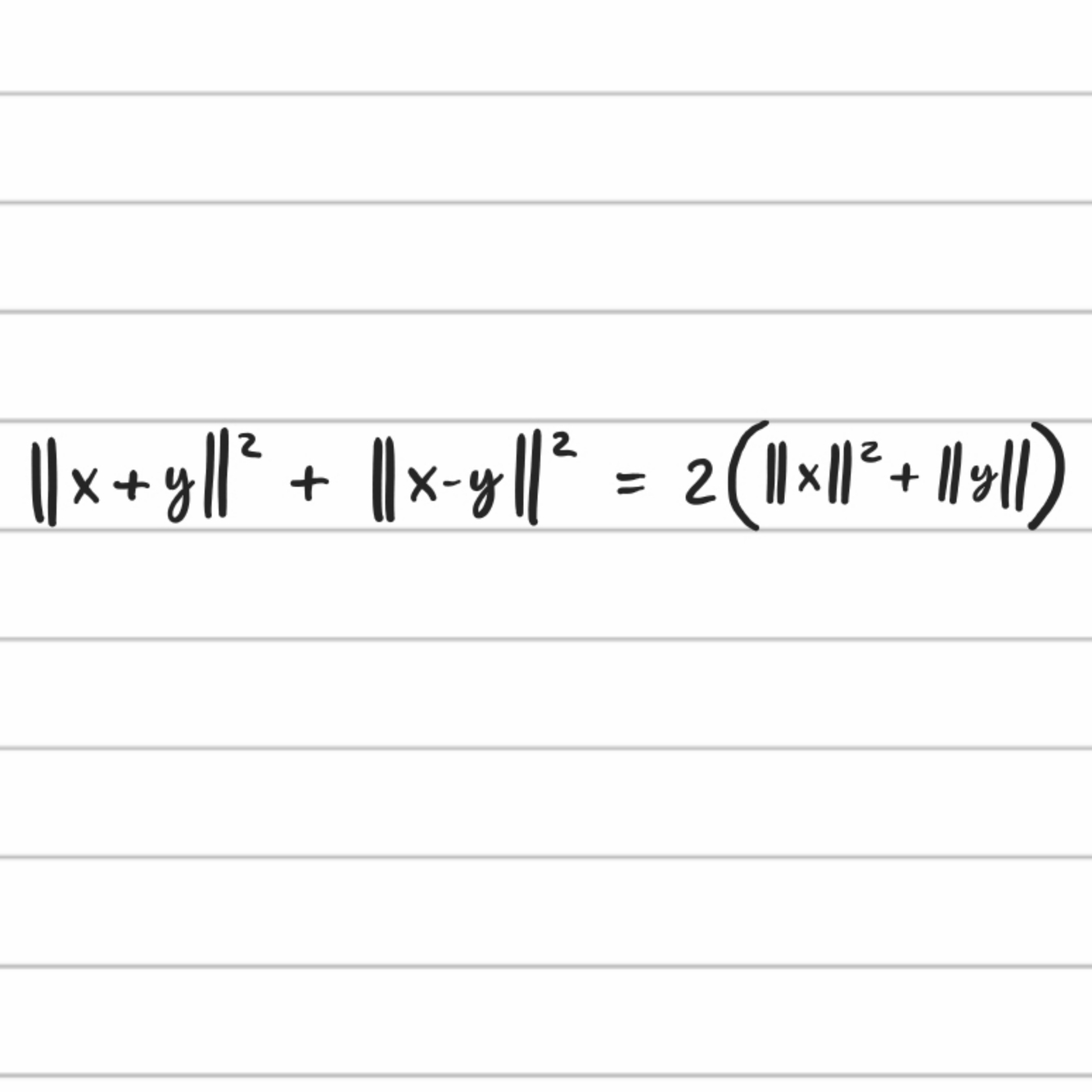
Q

What is the parallelogram identity?

A
How well did you know this?
1
Not at all
2
3
4
5
Perfectly
5
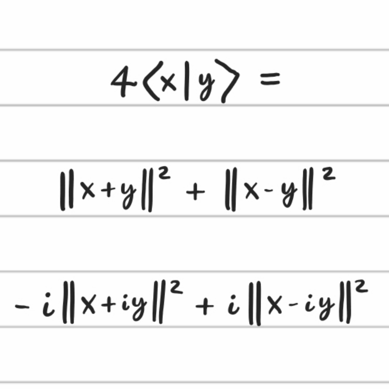
Q

What is the polarisation identity?

A
How well did you know this?
1
Not at all
2
3
4
5
Perfectly
6
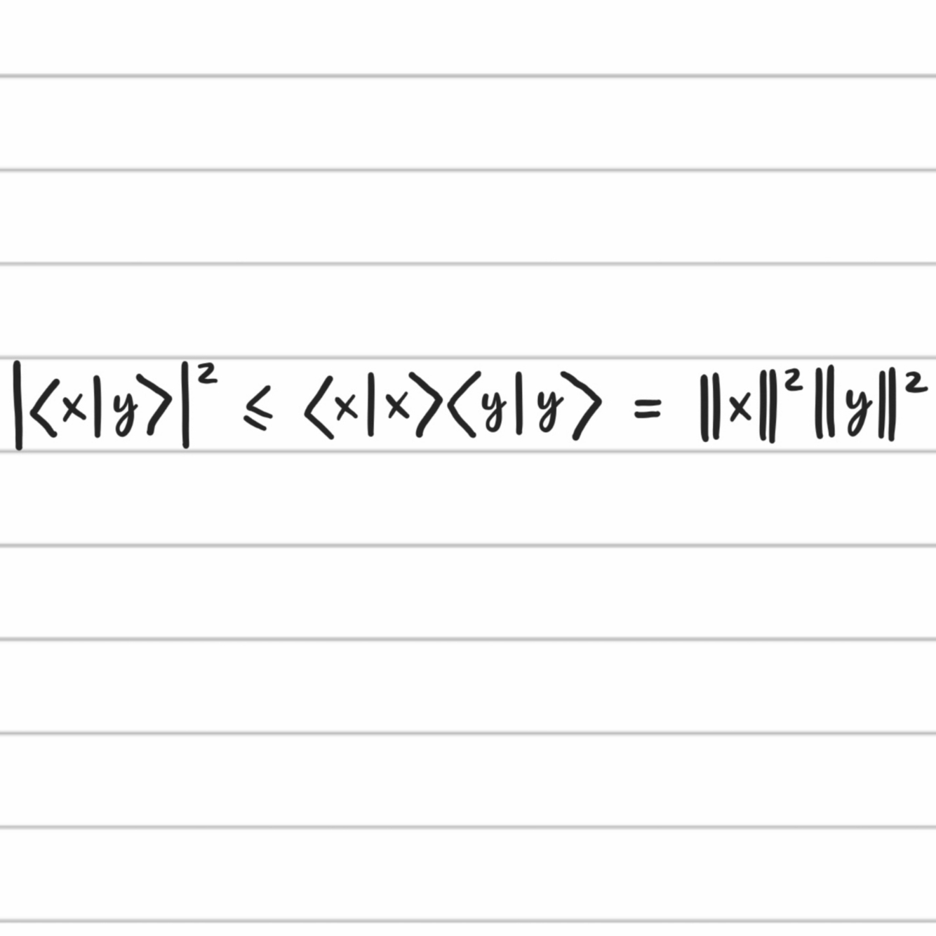
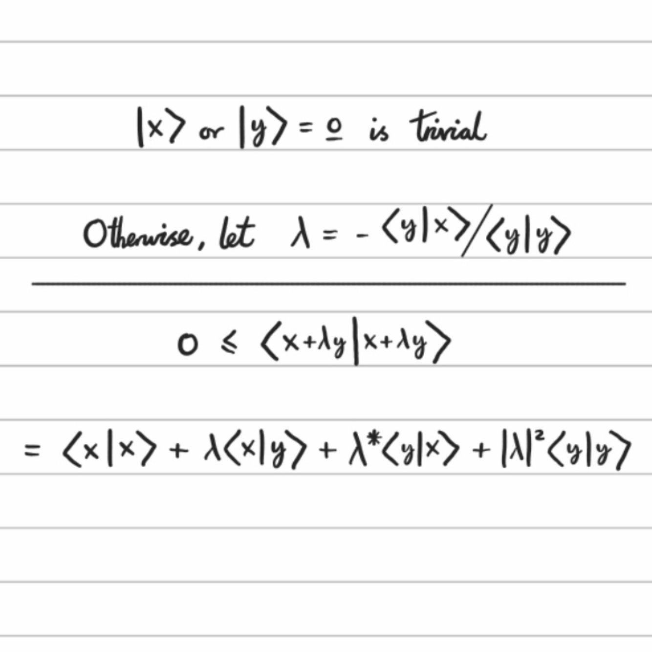
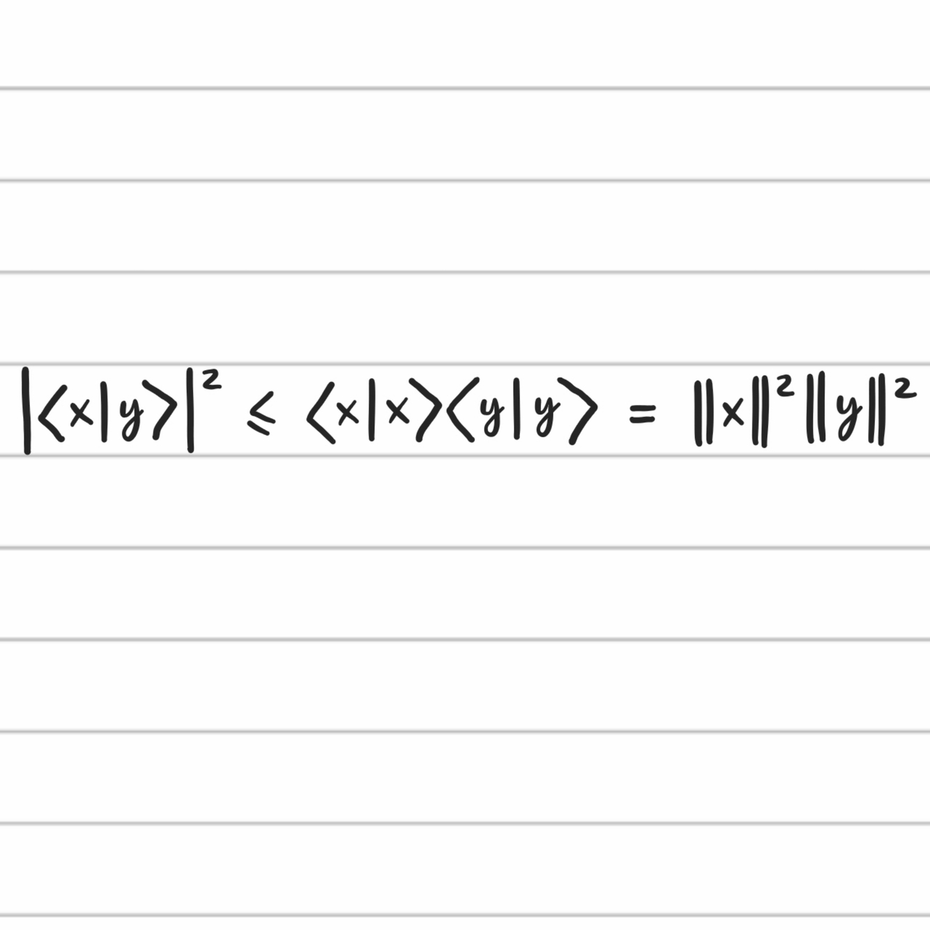
Q

How do you prove the Cauchy-Schwartz Inequality?

A
How well did you know this?
1
Not at all
2
3
4
5
Perfectly
7
Q

What are the three Pauli matrices?

A
How well did you know this?
1
Not at all
2
3
4
5
Perfectly
8
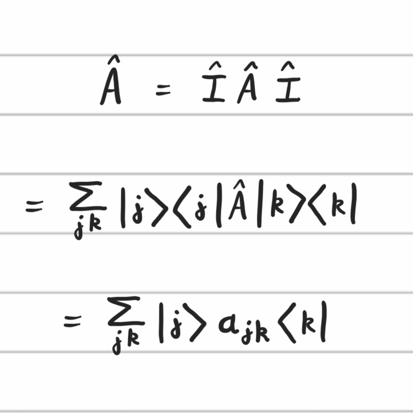
Q

How do you extract matrix elements from an operator?

A
How well did you know this?
1
Not at all
2
3
4
5
Perfectly
9
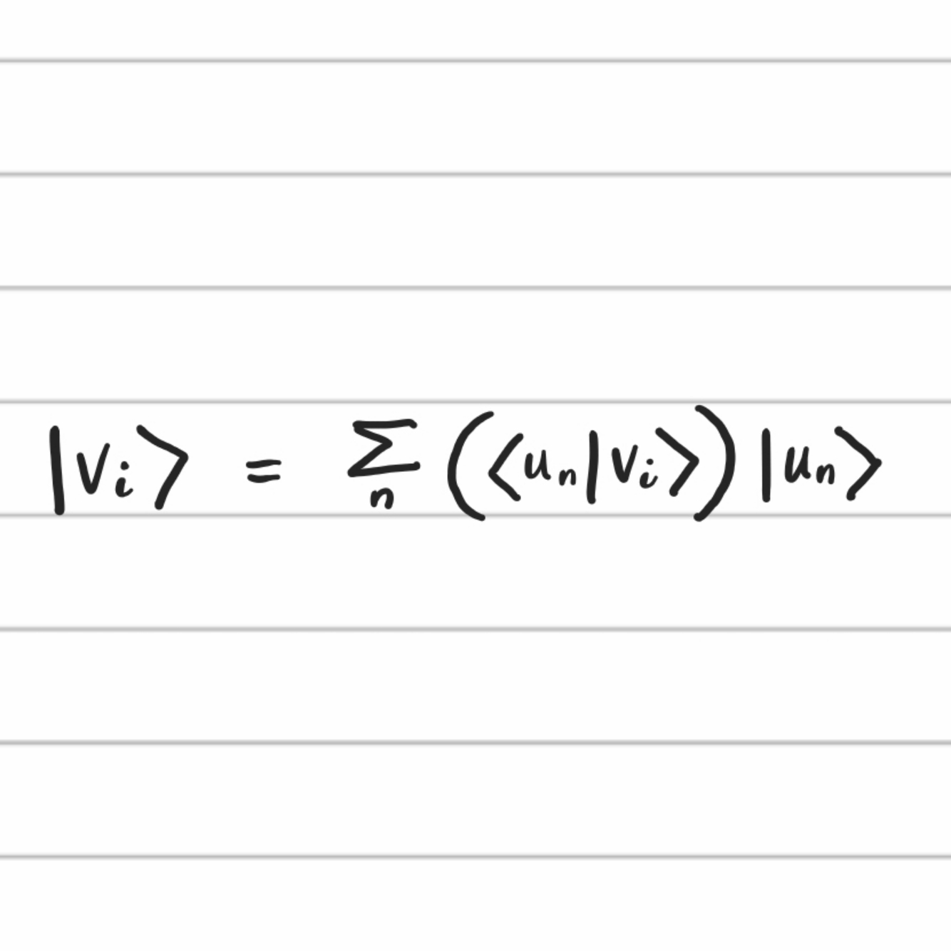
Q

How do you express a basis vector as a sum of another set of basis vectors?

A
How well did you know this?
1
Not at all
2
3
4
5
Perfectly
10
Q

How does an operator change under a transformation of basis?

A
How well did you know this?
1
Not at all
2
3
4
5
Perfectly
11
Q

What are the dimensionality of Hilbert spaces under tensor-sums and tensor-products.

A
How well did you know this?
1
Not at all
2
3
4
5
Perfectly
12
Q

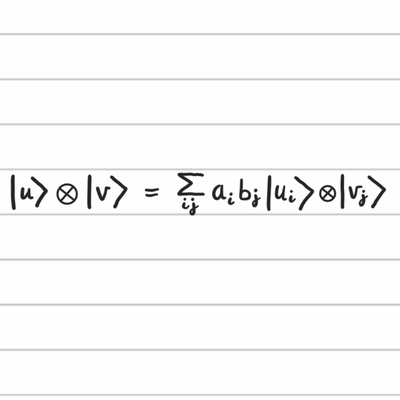
How are state vectors in a tensor product represented as a sum over eigenstates?

A
How well did you know this?
1
Not at all
2
3
4
5
Perfectly
13
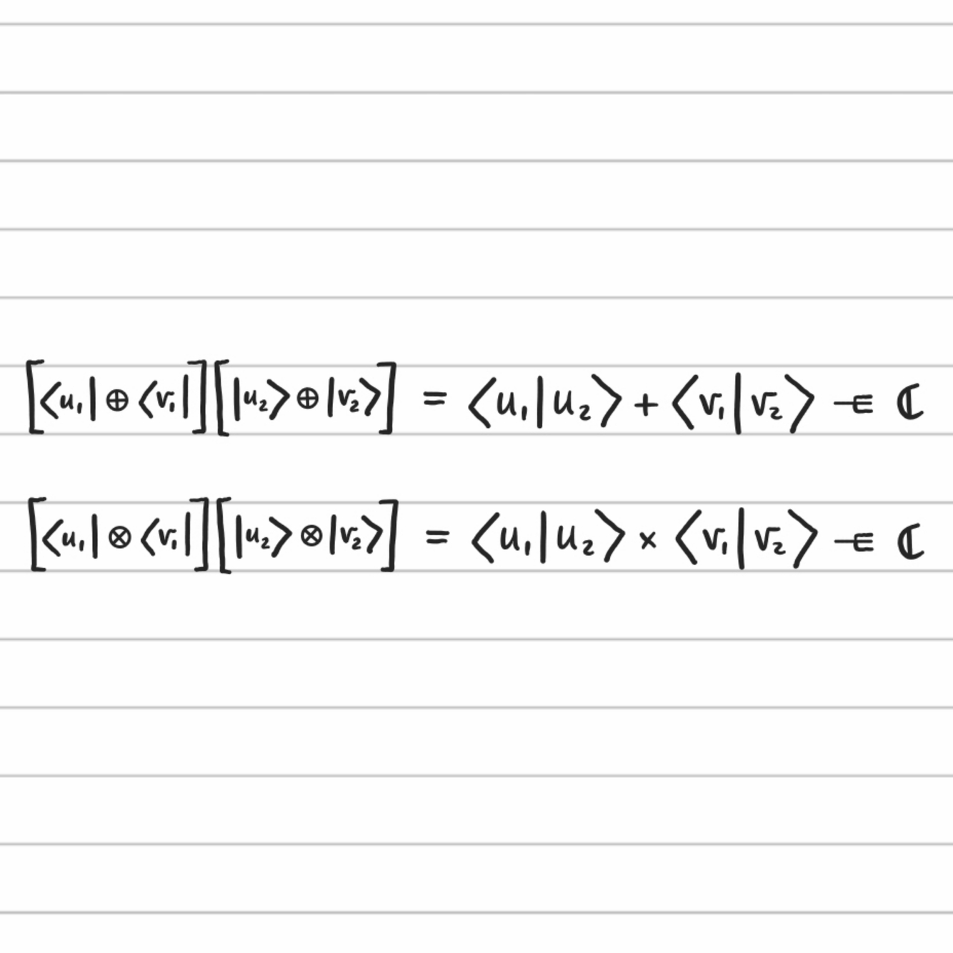
Q

How do inner products work with tensor-sums and tensor-products?

A
How well did you know this?
1
Not at all
2
3
4
5
Perfectly
14
Q

How do we define a tensor power?

A
How well did you know this?
1
Not at all
2
3
4
5
Perfectly
15
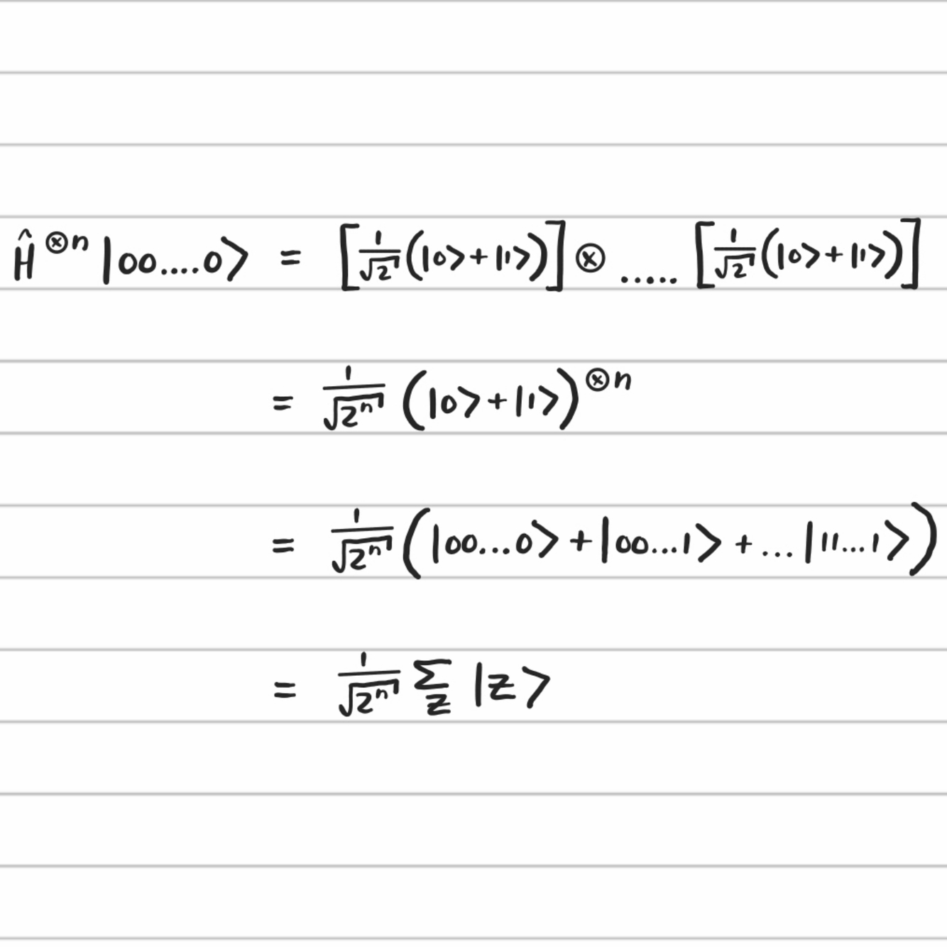
Q

How would you apply a Hadamard rotation to this vector?

A
How well did you know this?
1
Not at all
2
3
4
5
Perfectly
16
Q

How do you apply a Hadamard roation to a general vector?

17
Q

What are the matrix representations of tensor sums & products?

18
Q

What are the eigenvalues & eigenvectors of tensor sums and tensor products?

19
Q

What is the Cauchy-Schwarz inequality?