Algebra I Flashcards

(48 cards)

1
Q

GEDMAS

A

Order of operations

Grouping, exponents, division/multiplication, addition/subtraction

How well did you know this?
1
Not at all
2
3
4
5
Perfectly
2
Q

Real numbers

A

Represent real values. Can be rational or irrational or negative. Whatever

How well did you know this?
1
Not at all
2
3
4
5
Perfectly
3
Q

Natural Numbers vs. Whole Numbers

A

Natural numbers are integers that start with 1

Whole numbers are integers that starte with 0

Integers can be negative

How well did you know this?
1
Not at all
2
3
4
5
Perfectly
4
Q

Rational Numbers

A

Can be any number that can be represented by a fraction made up of two integers (can have results that are forever repeating, as long as there is a pattern)

How well did you know this?
1
Not at all
2
3
4
5
Perfectly
5
Q

Irrational Numbers

A

Numbers that cannot be expressed as a fraction of two integers. Go on forever and don’t have any repeated patterns

How well did you know this?
1
Not at all
2
3
4
5
Perfectly
6
Q

Prime vs. Composite

A

Prime numbers are numbers that can only be evenly divided by itself and 1. The first prime number is 2, and it is the only even one. Composite numbers are any number that isn’t prime

How well did you know this?
1
Not at all
2
3
4
5
Perfectly
7
Q

Factorial definition

A

n! = n*(n-1)*(n-2)*(n-3)…3*2*1

And 0! = 1

How well did you know this?
1
Not at all
2
3
4
5
Perfectly
8
Q

Communitive property

A

Order doesn’t matter

a+b=b+a

How well did you know this?
1
Not at all
2
3
4
5
Perfectly
9
Q

Associative Property

A

Grouping doesn’t matter:

(a+b)+c = a+(b+c)

How well did you know this?
1
Not at all
2
3
4
5
Perfectly
10
Q

Distributive Property

A

a (b + c) = ab + ac

How well did you know this?
1
Not at all
2
3
4
5
Perfectly
11
Q

Structure of a fraction

A

Numerator / Denominator

How well did you know this?
1
Not at all
2
3
4
5
Perfectly
12
Q

What is an improper fraction

A

The numerator is greater than the denominator

How well did you know this?
1
Not at all
2
3
4
5
Perfectly
13
Q

What is a mixed number

A

Integer plus a fraction

How well did you know this?
1
Not at all
2
3
4
5
Perfectly
14
Q

What is a least common multiple

A

The smallest number that two numbers can evenly go into

How well did you know this?
1
Not at all
2
3
4
5
Perfectly
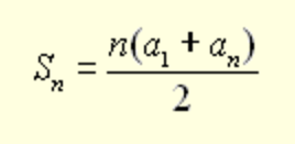
15
Q

Sum of a finite arithmetic series

A

where a1 is the first term, an is the last term

How well did you know this?
1
Not at all
2
3
4
5
Perfectly
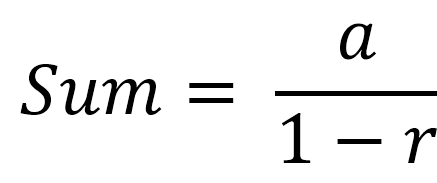
16
Q

Sum of an infinite geometric sequence

A

a is the first term, r is the ratio (0 to 1)

How well did you know this?
1
Not at all
2
3
4
5
Perfectly
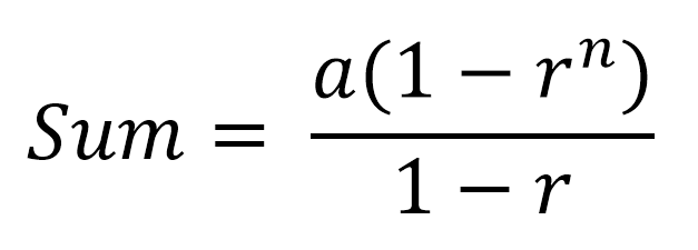
17
Q

Sum of a finite geometric sequence

A

a is the first term, r is the ratio 0 to 1

How well did you know this?
1
Not at all
2
3
4
5
Perfectly
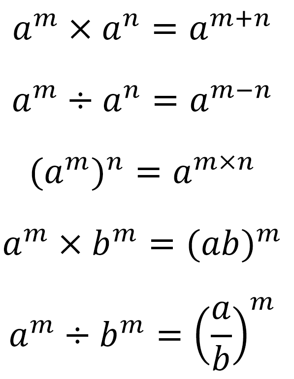
18
Q

The 5 rules of exponents

A

Keep in mind the bottom two apply to radicals

How well did you know this?
1
Not at all
2
3
4
5
Perfectly
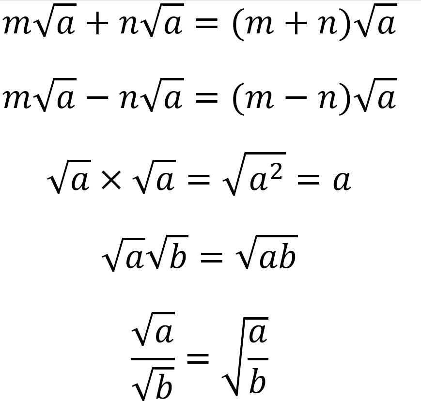
19
Q

Rules for radical expressions (same as the rules of exponents, but a good visual)

A
How well did you know this?
1
Not at all
2
3
4
5
Perfectly
20
Q

Fractional radical notation

21
Q

What is prime factorization?

A

prime factorization of a number is the unique product of prime numbers that results in the given number

22
Q

How do you determine what the smallest number is that a group of numbers can evenly go into?

A

Do prime factorization on all the numbers, and multiply the prime numbers by each other for a final product (the catch is, don’t repeat values if the prime factor is already listed)

23
Q

How to simplify fractions to solve an equation

A

The key here is to multiply both sides of the equation by the least common denominator, not just one side!

24
Q

Rules of Divisibility (2-6)

A

2: number is even
3: sum of digits is a number divisibile by 3
4: last two digits form a number divisible by 4
5: 5 or 0 last digit
6: the number is divisible by 2 and 3

25
Rules of Divisibility (7-12)
7: take the last digit, double it, and subtract it from the rest of the number. If you get an answerdivisible by 7 (including zero), then the original number is divisible by seven. If you don't know the new number's divisibility, you can apply the rule again. 8: Last three digits form a number divisible by 8 9: the sum of the digits is a number divisible by 9 11: The difference between the sums of the alternating digits is divisible by 11 12: the number is divisible by 3 and 4
26
What is a GCF
Greatest common factor is the largest possible number that evenly divides each term of an expression containing two or more terms (or evenly divides the numerator and denominator of a fraction) The largest number that divides evenly into all the numbers. GCF of 15 and 25 is 5. The expression becomes "prime" when it cannot be factored anymore
27
What is a binomial?
An algebraic expression with 2 terms in it. Polynomial is the general term
28
GCF / Difference of Squares / Sum or Difference of Cubes (Factoring Binomials)
29
GCF / Un-Foil / Factoring by Grouping (Factoring Trinomials)
30
Perfect square trinomial quickie
31
Is (a2+b2) == (a+b)2
NO
32
Qaudratic Formula
33
What is the remainder theorem
When you divide a polynomial by some linear binomial, the remainder resulting from the division is the same number as you'd get if you evaluated the polynomial using the opposite of the constant in the binomial The best way to accomplish this is synthetic division (if you use 2 in syn div, then the linear binomial is (x-2))
34
What is the rational roots theorem
The rational roots theorem is a very useful theorem. It tells you that given a polynomial function with integer or whole number coefficients, a list of possible solutions can be found by listing the factors of the constant, or last term, over the factors of the coefficient of the leading term. These potential solutions can be quickly tested with synthetic division to verify.
35
How to accomplish synthetic division
Be sure to put zeros for any coefficients that are not present. You are adding...
36
What does cubic and quadratic equation mean
Power of three and power of two A cubic equation can have up to 3 solutions
37
Interval notation for inequalities
(x,y) is noninclusive of x and y [x,y] is inclusive of x and y if infinity, use a ")", not a ]
38
How inequalities are affected by operators
Adding subtracting stays the same If you divide or multiply by a negative number, the sign flips And don't multiply or divide by 0
39
How to solve absolute value equations
Write as two seperate problems, where the absolute value stuff either equals positive or negative
40
Formula for simple interest
I = Prt Where I equals interest, P is start amount, r is interest rate, t is time
41
Formula for compound interest
n is the number of times it's compounded each time unit, t
42
Difference between combinations and permutations
In permutations, order matters
43
Equation for Combination
n is how many items are available r is how many are to be chosen per iteration Think "niccer", n always greater than or equal to r Has the extra r in the denominator to make smaller (because smaller than a permutation)
44
Equation for Permutation
Where n is total number of items and r is the number per iteration Think "nipper", n always greater than or equal r
45
Linear system of equations by substitution
Can be solved into either equation
46
Slope intercept form and point-slope form equations for a line
y = mx + b y - y1 = m( x - x1 )
47
Midpoint Formula
48
Standard form for a line
Ax + By = C