General Equation for a Sine Wave
A = amplitude
f = ordinary frequency (cycles/time)
w = angular frequency (radians/second)
phi = phase (radians at t = 0)
Unit Circle
Tangent and Cotangent Identities
Reciprocal Identities
Pythagorean Identities
Even/Odd Formulas
Periodic Formulas
Double Angle Formulas
Half Angle Formulas (Standard Format)
Also: Tan(theta/2) = (1-cos(theta))/sin(theta)
Half Angle Formulas (Alternate Format)
Sum and Difference Formulas
Product to Sum Formulas
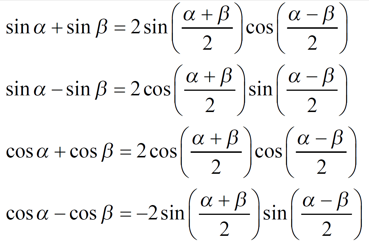
Sum to Product Formulas
Cofunction Formulas
Inverse Definitions
Inverse Properties
Law of Sines
Law of Cosines
Law of Tangents
Euler’s Formula
eiπ + 1 = 0
Sin / Cos Graphs

Tan / Cot Graphs

Sec / Csc Graphs

Range vs. Domain
Domain is input
Range is output