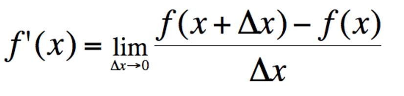
Definition of a derivative
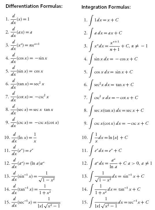
Top Derivatives and Integrals

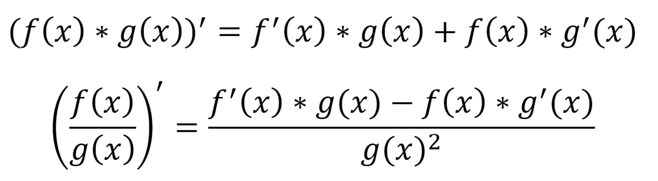
Product Rule and Quotient Rule
Inverse functions derivative rule
Inverse functions are symmetrical about the line y = x
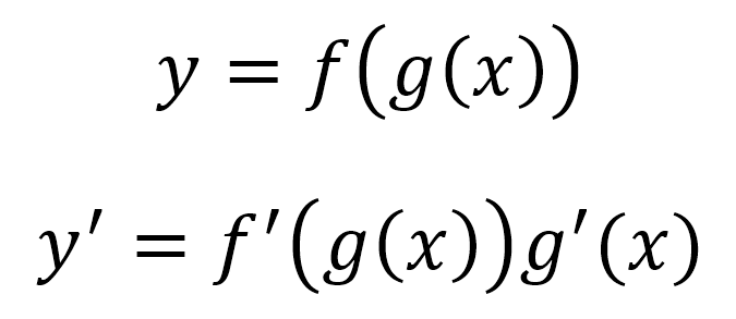
Chain Rule Differentiation
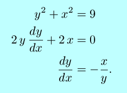
Implicit vs. Explicit Differentiation
explicit: y = 2x
implicit: y = 2x + y2 (def of y involves y)
To solve implicit derivatives, put in (y’) where appropriate and solve for y’
example:

What are critical values of a derivative, and what is their importance?
Where the derivative equals zero. They can be relative/global maximums/minimums.
Use the first derivative test to determine if they are max or min.
Use the second derivative test to determine if they are concave up or concave down (which tells you max or min)
The second derivative test also tells you if a point is an inflection point or not (the 2nd derivative will equal zero).
Inflection points are where functions transition between concavity.
These tests can be applied to any order of a derivative
At what points are derivatives undefined in a function?
A cusp, a vertical tangent, and discontinuity

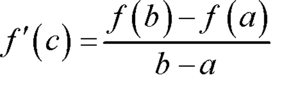
Mean Value Theorem
If f is continuous on the closed interval [a, b] and differentiable on the open interval (a, b), then there exists at least one number c in (a, b) such that: (view image)
Explanation: a secant line that is drawn from point a to b has a slope, m
There has to be some point, c, whose tangent line slope is also equal to m
Visual depiction of the mean value theorem
How to optimize dimensions (and other stuff) through differentiation
What are related rates?
Example: filling up a pool with a water hose
The rate of depth in the pool is related to the rate of water out of the hose
The key is to set up an equaiton, then differentiate both sides, then solve implicitly to get your desired rate

How to use linear approximation at a point
Find the slope (through the derivative)
plug into:
y - y1 = m (x - x1)
Gives you a line to process local approximations
m is the same as f ’ (x)
What is the meaning of “marginal” in these cases: marginal cost, marginal revenue, marginal profit
The increase or decrease per 1 unit over (x + 1)
Linear approximation works great for this
Left, Right, and Midpoint area calculation formulas (All are considered Riemann sums)
n is the number of rectangles, (b-a)/n is the width of each triangle, function values are the height of each rectangle

Summation Notation
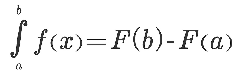
Definition of an integral
Where delta x is the withd of the ith rectangle and xi is the x-coordinate of the point where the ith rectangle touches f(x)
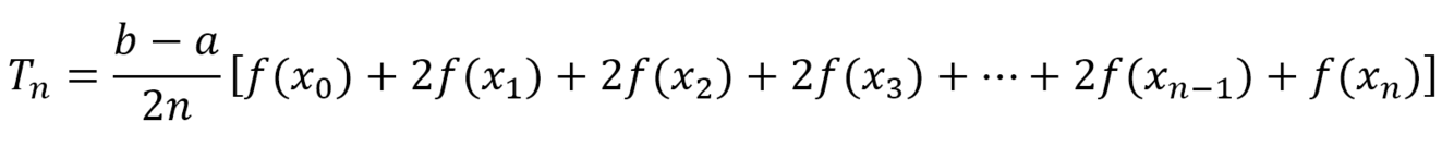
Another way to calculate the area under a curve that isn’t Reimann sums is the trapezoid rule
The trapezoid rule is basically the average of the left and right reimann sums
Where n is the number of trapexoids, x0 equals a, and x1 through xn are the equally-spaces x-coordinates of the right edges of trapezoids 1 through n
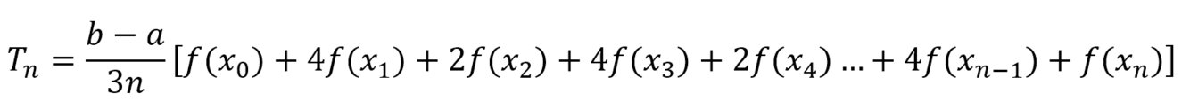
Simpson’s rule for calculating the area under a curve
The most accurate against the riemann sums and the trapezoid sums.
Bassically, its an average of the midpoint sum counted twice, and the trapezoid sum.
n is twice the number of “trapezoids” and x0 ans xn are the n + 1 evenly spaced points from a to b
Each “trapezoid” spans two intervals instead of one; in other words, “trapezoid” number 1 goes from x0 to x2 “trapezoid” 2 goes from x2 to x4. Because of this, the total span must always be divided into an even number of intervals
When calculating, multiply the outside term of the brackets by each inside the brackets
Fundamental Theorem of Calculus
Substitution Method for integration
It’s so natural in your mind, it seems pointless when you read the explanation
Integration by parts
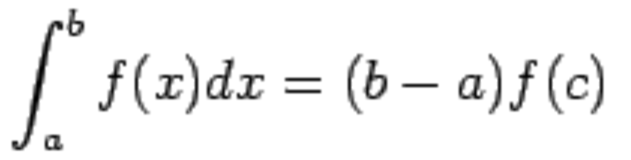
The Mean Value Theorem for Integrals
Useful for finding the average value of the funciton over a particular interval
f(c) is the average value of f(x) over the interval [a, b]
How to find the area between two curves
Find the two intersection points.
Evaluate the top function’s integral over that interval.
Evaluate the bottom function’s integral over that interval.
Find the difference. That difference equals the area between the curves.