Beweiskalkül Flashcards

(24 cards)

1
Q

Für was ist ein Beweiskalkül wichtig

A

deklarative Programmiersprachen –> AI

How well did you know this?
1
Not at all
2
3
4
5
Perfectly
2
Q

Was ist eine Wissenbasis WB?

A

bspw. mathematische Regeln, Spielregeln etc.
Kann durch einen logischen Term WB beschrieben werden.

How well did you know this?
1
Not at all
2
3
4
5
Perfectly
3
Q

Was ist Q?

A

Query, Anfrage –> Logischer Term

How well did you know this?
1
Not at all
2
3
4
5
Perfectly
4
Q

Logischer Term Q folgt aus Wissenbasis, wenn

A

alle Interpretationen von Q mit WB übereinstimmen

How well did you know this?
1
Not at all
2
3
4
5
Perfectly
5
Q

Wie nennt man Überprüfung mittels Wahrheitstabelle?

A

Semantische Folgerung

How well did you know this?
1
Not at all
2
3
4
5
Perfectly
6
Q

Wie nennt man Überprüfung mittels Manipulation an den Termen nach bestimmten Regeln ohne Wahrheitswerte einzusetzen?

A

Syntaktische Ableitung

How well did you know this?
1
Not at all
2
3
4
5
Perfectly
7
Q

Zwei Möglichkeiten, wie man semantisch überprüfen kann.

A

Deduktionstheorem: Wenn WB implikation Q allgemeingültig also Tautologie ist.

Widerspruchsbeweis –> WB und nicht Q = F also Kontradiktion

How well did you know this?
1
Not at all
2
3
4
5
Perfectly
8
Q

Was ist der Nachteil bei normaler Semantischer Folgerung?

A

Bei grosser Anzahl aussagenlogischer Variablen sehr lange Rechenzeit (SAT-Problem)

How well did you know this?
1
Not at all
2
3
4
5
Perfectly
9
Q

Welchen Vorteil hat der Widerspruchsbeweis?

A

Sobald True kann abgebrochen werden und es ist somit klar, dass es keine Semantische Folgerung ist.

How well did you know this?
1
Not at all
2
3
4
5
Perfectly
10
Q

Welche Regel ist eine der wichtigsten Ableitungsregeln in der Informatik?

A

Resolutionsregel

How well did you know this?
1
Not at all
2
3
4
5
Perfectly
11
Q

Zeichen Semantische Folgerung

A
How well did you know this?
1
Not at all
2
3
4
5
Perfectly
12
Q

Zeichen Syntaktische Ableitung

A
How well did you know this?
1
Not at all
2
3
4
5
Perfectly
13
Q

Resolutionsregel vereinfacht

A
How well did you know this?
1
Not at all
2
3
4
5
Perfectly
14
Q

Resolutionsregel durchführen, was beachten?

A

Nur eine Streichung pro Schritt, da es der Algorithmus auch nicht anders könnte.

How well did you know this?
1
Not at all
2
3
4
5
Perfectly
15
Q

Jede aussagenlogische Wissensbassis WB kann immer in… geschrieben werden.

A

Konjunktiver Normalform (KNF)

How well did you know this?
1
Not at all
2
3
4
5
Perfectly
16
Q

Konjunktive Normalfrom –>

A

Wissensbasis WB –> UND Verbindungen
Klausel K –> ODER Verbindungen
Literal L –> aussagenlogische Variablen oder Negation

17
Q

Kalkül =

A

Büchlein von Ableitungsregeln

18
Q

Beweiskalkül =

A

Gesamtheit der Regeln von syntaktischer Ableitung

19
Q

Mögliche Eigenschaften von Beweiskalkül

A
  • korrekt
  • vollständig
20
Q

Eigenschaft von Beweiskalkül: korrekt

21
Q

Eigenschaft von Beweiskalkül: vollständig

22
Q

Gödelscher Vollständigkeitssatz

A

Für die Prädikatenologik erster Stufe gibt es vollständige und korrekte Beweiskalküle

23
Q

Gödelscher Unvollständigkeitssatz

A

Für die Prädikatenlogik zweiter Stufe gibt es wahre Aussagen, die kein Beweiskalkül ableiten kann.

24
Q

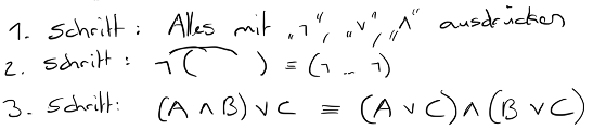
Schritte zur Kojuktiver Normalform (KNF)