Rekursive Algorithmen Flashcards

(19 cards)

1
Q

Was ist ein Rekursiver Algorithmus?

A

Methode zur Problemlösung, bei der eine Funktion sich selbst aufruft, um kleinere Instanzen des Problems zu bearbeiten.

How well did you know this?
1
Not at all
2
3
4
5
Perfectly
2
Q

Was ist wenn Input n = 1 ist bei einem rekursiven Algorithmus?

A

direkt effizient berechenbar
sog. Base case

How well did you know this?
1
Not at all
2
3
4
5
Perfectly
3
Q

Was macht Divide-and-Conquer?

A
  • Grosse Input Werte teilen
  • Teilaufgaben lösen
  • Gesamtlösung durch Teillösungen rekonstruieren.
How well did you know this?
1
Not at all
2
3
4
5
Perfectly
4
Q

Wie sieht ein Rekurisionsbaum aus? Beispielsweise für die Berechnung der Summe der ersten 5 zahlen.

A
How well did you know this?
1
Not at all
2
3
4
5
Perfectly
5
Q

Rechenkomplexität von mergeSort von John von Neumann

A
How well did you know this?
1
Not at all
2
3
4
5
Perfectly
6
Q

Was ist die Schwierigkeit bei der Analyse von rekursiven Algorithmen?

A

Anzahl Rechenschritte zählen von Algorithmus ist nicht einfach möglich, da Funktion mehrmals aufgerufen wird.

How well did you know this?
1
Not at all
2
3
4
5
Perfectly
7
Q

Allgemeine Darstellung der Anzahlrechenschritte von Divide-and-Conquer Algorithmen

A
How well did you know this?
1
Not at all
2
3
4
5
Perfectly
8
Q

Was sagt a aus bei dieser Darstellung?

A

Wie oft die Rekursion ausgelöst wird

How well did you know this?
1
Not at all
2
3
4
5
Perfectly
9
Q

Was sagt b aus bei dieser Darstellung?

A

Um wieviel der Input jeweils verkleinert wird

How well did you know this?
1
Not at all
2
3
4
5
Perfectly
10
Q

Was sagt c*n^k aus in dieser Darstellung?

A

Wie viel Rechenschritte für die Aufräumarbeiten notwendig sind

How well did you know this?
1
Not at all
2
3
4
5
Perfectly
11
Q

Was kann man mit diesem Satz herausfinden?

A

In welcher Komplexitätsklasse der rekurisve Algorithmus ist.

How well did you know this?
1
Not at all
2
3
4
5
Perfectly
12
Q

Lineare Rekursionbeziehungen, was ist anders?

A

Input wird nicht durch bestimmte Zahl aufgeteilt sondern um bestimmte Anzahl verkleinert.
Bspw.

How well did you know this?
1
Not at all
2
3
4
5
Perfectly
13
Q

Von welchem Grad ist diese Rekursionsbeziehung?

A
How well did you know this?
1
Not at all
2
3
4
5
Perfectly
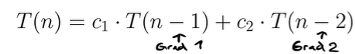
14
Q

Von welchem Grad ist diese Rekursionbeziehung?

A

Von Grad 2

How well did you know this?
1
Not at all
2
3
4
5
Perfectly
15
Q

Was ist F(n)?

A

Anzahl Rechenschritte für Aufräumarbeiten

How well did you know this?
1
Not at all
2
3
4
5
Perfectly
16
Q
A

Homogen –> Keine Rechenschritte für Aufräumarbeiten

17
Q
A

Inhomogen –> Rechenschritte für Aufräumarbeiten notwendig

18
Q

Für homogene Rekursionsbeziehungen wird zwischen Grad x und Grad y unterschieden

A

k = 1 –> Lösung direkt
k >= 2 –> Lösung mittels quadratischer Gleichung

19
Q

Wie muss eine inhomogene Rekursionbeziehung gelöst werden?

A
  1. allgemeine Lösung für homogenen Teil bestimmen
  2. T partikulär Ansatz machen
  3. Zusammenfügen und Paramter bestimmen