hydrocarbons tend to have?
haloalkanes or alkyl halides are alkanes with halogen subtituents (F, Cl, Br, or I) and can be made from?

haloalkanes are quite reactive so they readily undergo?

alkenes are important for the MCAT because?

phenol substituents:

in general alcohols are?
the largest set of reactions involving alcohols is?

how do we protect OH groups from being oxidized or reduced?

the physical and chemical properties of aldehydyed and ketones are determined by the?

Nucleophilic addition reactions to the carbonyl carbon:
Nucleophile: What happens: Product: Notes:
aldehydes and ketones can react with each other in an important reaction known as?

carboxylic acids are characterized by a -COOH functional group while in carboxylic acid derivatives, the -OH group is?
carboxylic acids physical properties:

a special case of acid-base chemistry involving carboxylic acids is known as?
amides are?

esters are?

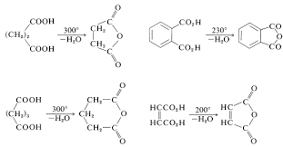
acid anhydrides are?

a strong reducing agent is needed to reduce carboxylic acids to?
carboxylic acids with another carbonyl group separated by a single carbon (1,3-dicarboxylic acids and beta-ketoacids) can also lose a -COOH group in a process known as?

carboxylic acids undergo many reactions involving?
what is Hell-Volhard-Zelinsky halogenation?

more reactive carboxylic acid derivatives can be?

what is transesterification?

another reaction involving carboxylic acids is the hydrolysis of amides to the parent carboxylic acid and an amine:
