Complex numbers Flashcards

(23 cards)

1
Q

What is i?

A

The square root of negative 1

How well did you know this?
1
Not at all
2
3
4
5
Perfectly
2
Q

What is an imaginary number ?

A

Any multiple of i

How well did you know this?
1
Not at all
2
3
4
5
Perfectly
3
Q

What is a complex number ?

A

An imaginary number and a real number

How well did you know this?
1
Not at all
2
3
4
5
Perfectly
4
Q

How is the equality different for complex numbers?

A
How well did you know this?
1
Not at all
2
3
4
5
Perfectly
5
Q

What is a conjugate ?

A

A change in the sign in the middle of two terms

How well did you know this?
1
Not at all
2
3
4
5
Perfectly
6
Q

What do you know about the roots of a quadratic equation that are non- real complex numbers?

A

The roots are conjugate.
If f(z)=0 (a+bi)
Then f(z*)=0 (a-bi)

formula
z^2 - (2a)+ a^2b^2

How well did you know this?
1
Not at all
2
3
4
5
Perfectly
7
Q
A
How well did you know this?
1
Not at all
2
3
4
5
Perfectly
8
Q

what always must be done to complex numbers before they can be manipulated

when in fraction form

A
  1. check the denominator
  2. if i is present in the denominator then rationalise by multiplying by the conjugate
  3. once rationalised (no conjugate in the denominator) then manipulate normally
How well did you know this?
1
Not at all
2
3
4
5
Perfectly
9
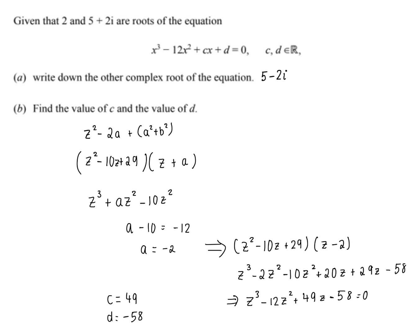
Q

how would you determine a quadratic equation given one complex root?

considering co efficents are real numbers

A
  1. know that the other root must be the conjuagte
  2. if root in the form (a+bi)
  3. -2a is the b term
  4. a squared + b square is the c term
How well did you know this?
1
Not at all
2
3
4
5
Perfectly
10
Q
A
How well did you know this?
1
Not at all
2
3
4
5
Perfectly
11
Q

What is the Argand diagram?

A
How well did you know this?
1
Not at all
2
3
4
5
Perfectly
12
Q

Plot the points

A
How well did you know this?
1
Not at all
2
3
4
5
Perfectly
13
Q

How would two conjugate pairs be represented geometrically? (On the Angrand diagram)

A

Reflection on the x axis

How well did you know this?
1
Not at all
2
3
4
5
Perfectly
14
Q

why are complex numbers used?

A

to represent roots of quadratics that we previously couldn’t represent with real numbers

How well did you know this?
1
Not at all
2
3
4
5
Perfectly
15
Q

what are the possible root outcomes for a cubic?

A
  • 3 real roots
  • 1 real root, 2 conjuagtes

must have at least 1 real root

How well did you know this?
1
Not at all
2
3
4
5
Perfectly
16
Q

what are the possible roots for a quartic?

A
  • 4 real roots
  • 4 complex roots
  • 2 real roots, 2 complex roots
17
Q

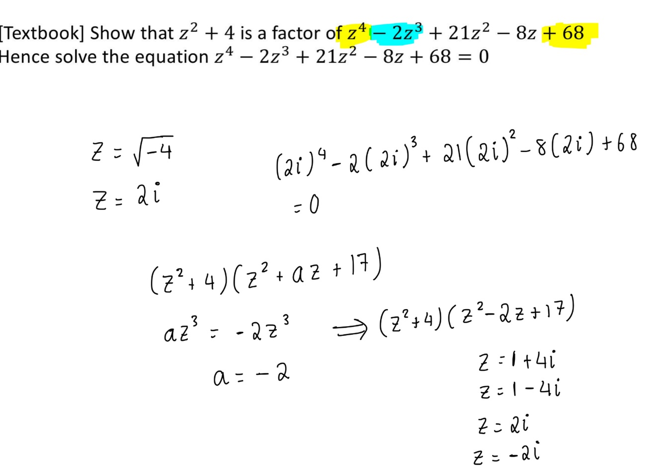
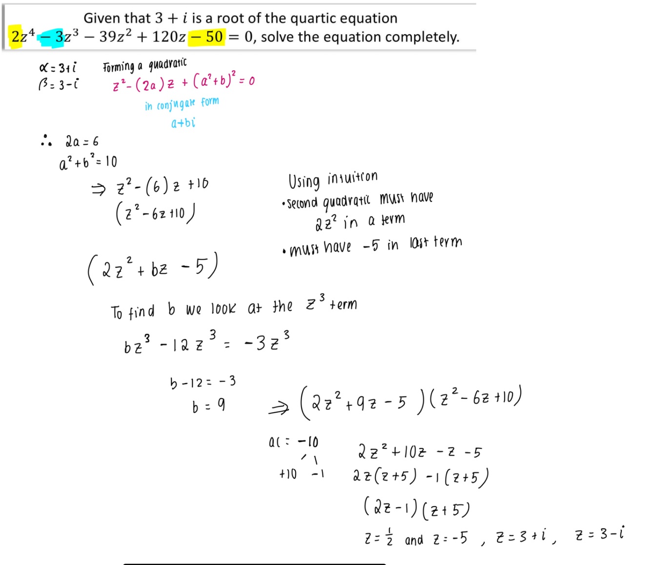
how would you solve a cubic/ quartic equation given one complex root?

A
  1. turn complex and it’s conjugate into a quadratic
  2. look at a term
  3. look at last term
  4. using intuition solve for a second quadratic
  5. solve this
19
Q
A

Make sure to highlight the a , b c … terms to make sure you don’t make a sign error

20
Q

More determining second bracket by intuition questions

21
Q

when does a complex number ever =0

A

when both real and imaginary parts =0

22
Q

what is the x axis and the y axis known as in the argand diagram?

A
  • x axis= real axis
  • y axis= imaginary axis
23
Q

what are some mark scheme must dos?

A
  • show full expansion/working out with complex numbers
  • show i^2 = -1
  • when plotting points on argand diagram label Re and Im
  • must show method of obtaining roots from quadratics (quadratic formula)