Further Calculus Flashcards

(19 cards)

1
Q
A
How well did you know this?
1
Not at all
2
3
4
5
Perfectly
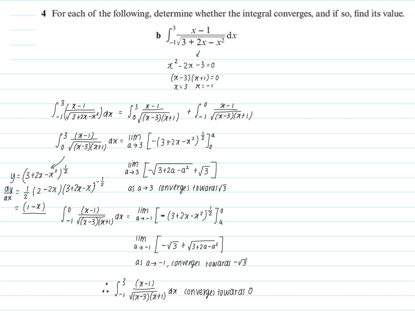
2
Q
A

It was 3 instead of root 3 but idk how

How well did you know this?
1
Not at all
2
3
4
5
Perfectly
3
Q
A
How well did you know this?
1
Not at all
2
3
4
5
Perfectly
4
Q
A
How well did you know this?
1
Not at all
2
3
4
5
Perfectly
5
Q
A
How well did you know this?
1
Not at all
2
3
4
5
Perfectly
6
Q
A
How well did you know this?
1
Not at all
2
3
4
5
Perfectly
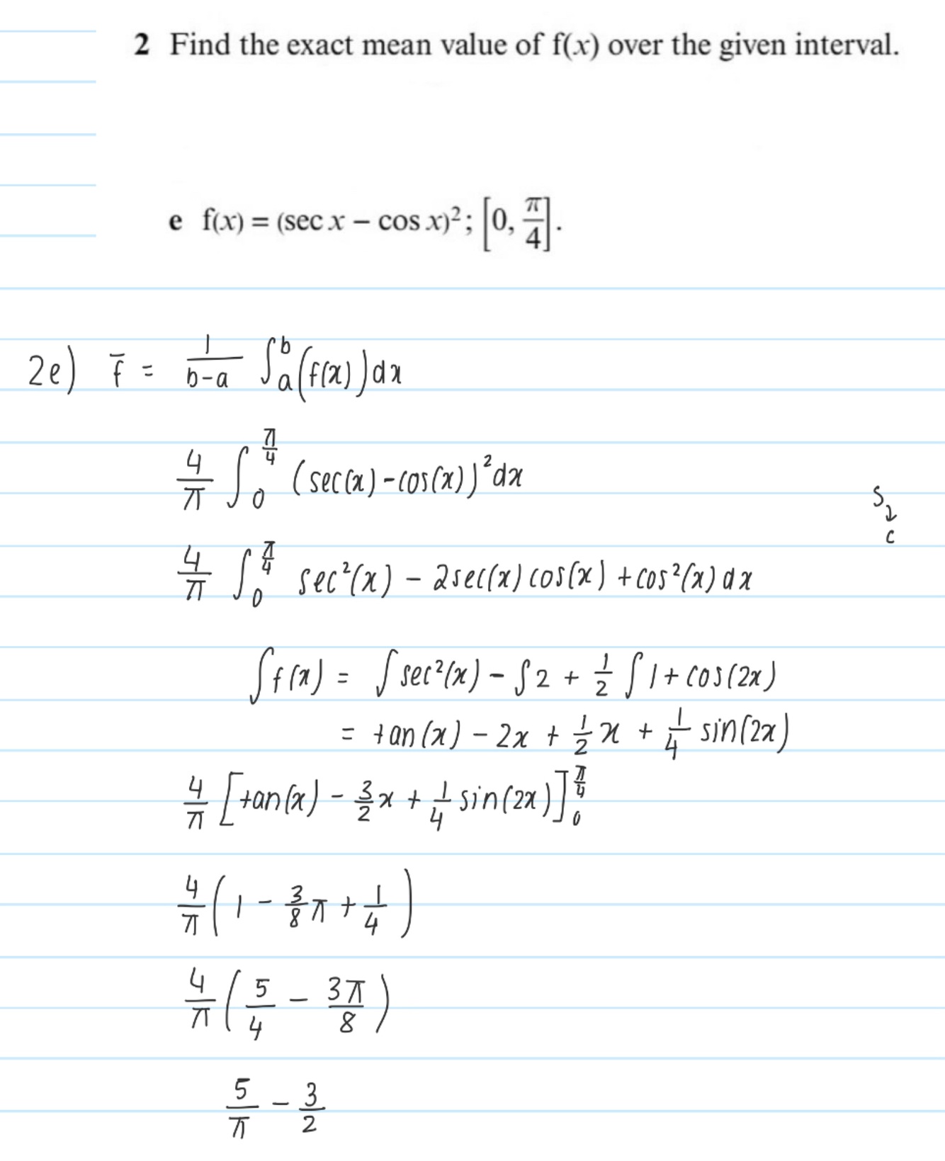
7
Q

What the formula for the mean function?

A
How well did you know this?
1
Not at all
2
3
4
5
Perfectly
8
Q
A

Chat GTP calls the cos thing the product to sum rule

How well did you know this?
1
Not at all
2
3
4
5
Perfectly
9
Q
A
How well did you know this?
1
Not at all
2
3
4
5
Perfectly
10
Q
A
How well did you know this?
1
Not at all
2
3
4
5
Perfectly
11
Q
A

The integral of 0 is C

How well did you know this?
1
Not at all
2
3
4
5
Perfectly
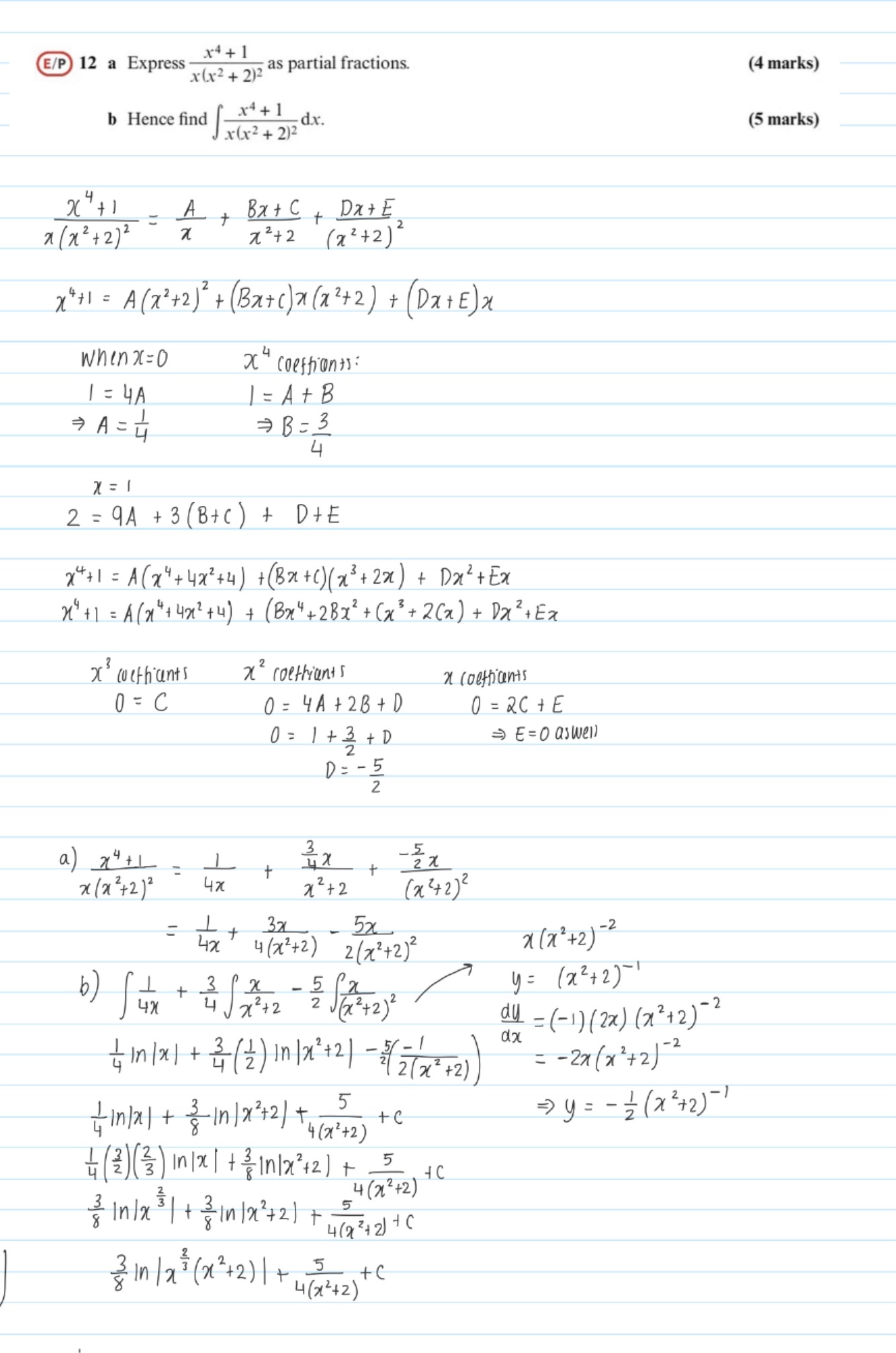
12
Q
A
How well did you know this?
1
Not at all
2
3
4
5
Perfectly
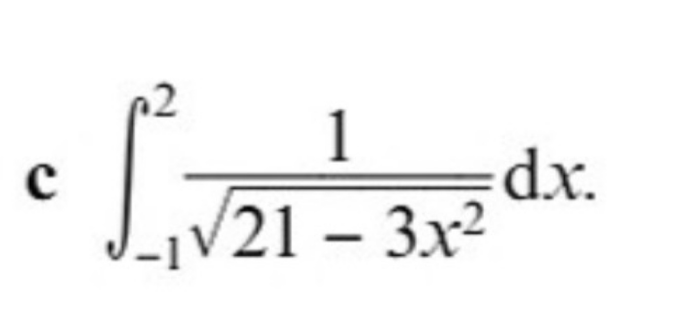
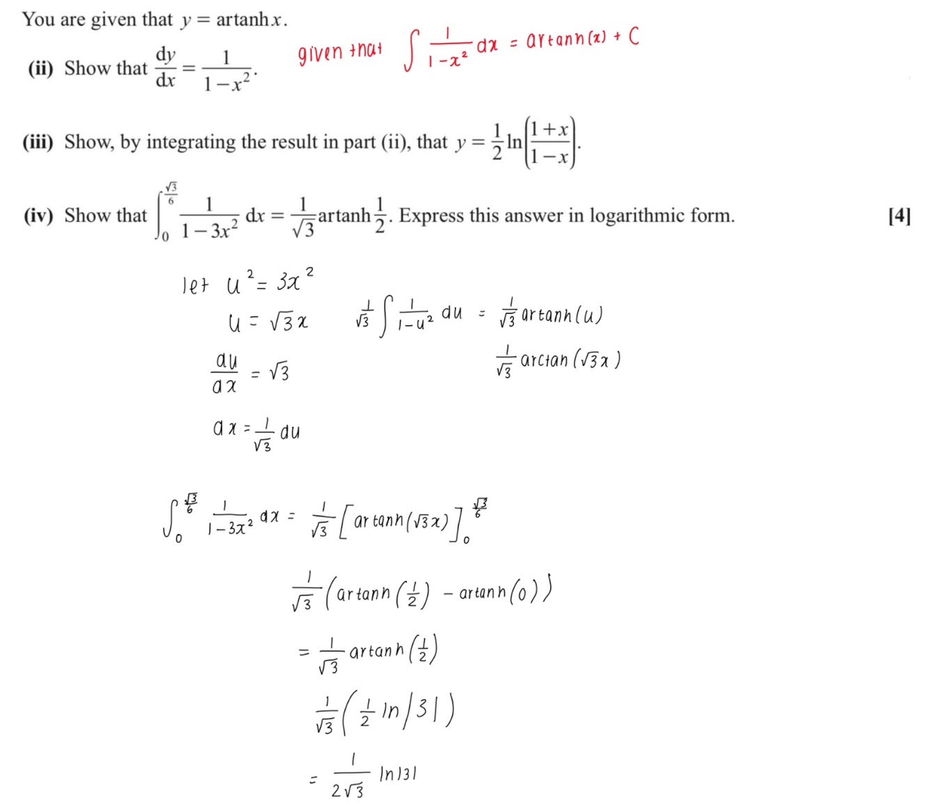
13
Q
A

Two methods.
Method 1: using substitution and getting it as 1- u ^2
Method 2: using standard results and getting the coefficient of x^2 = -1

How well did you know this?
1
Not at all
2
3
4
5
Perfectly
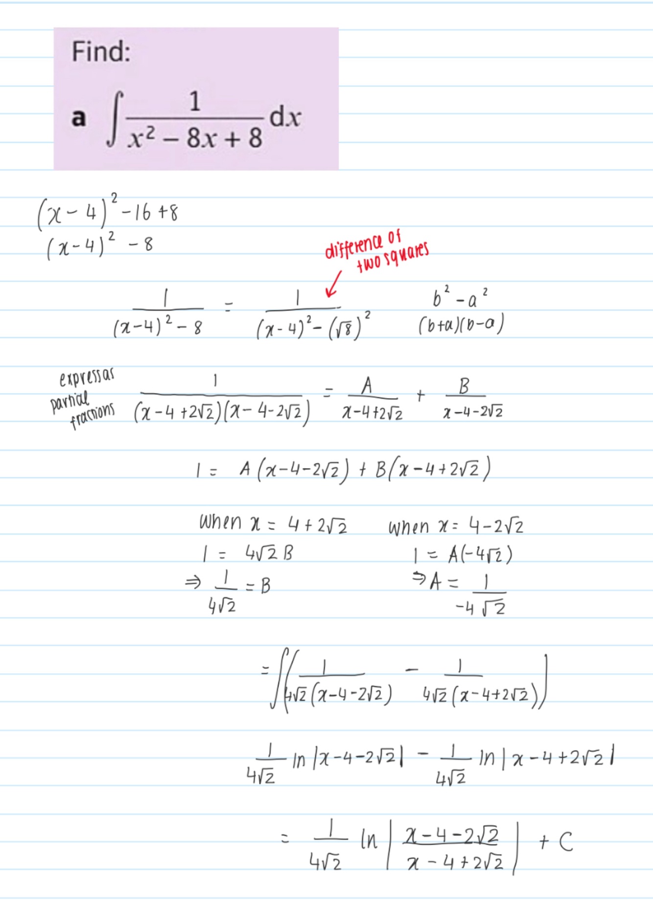
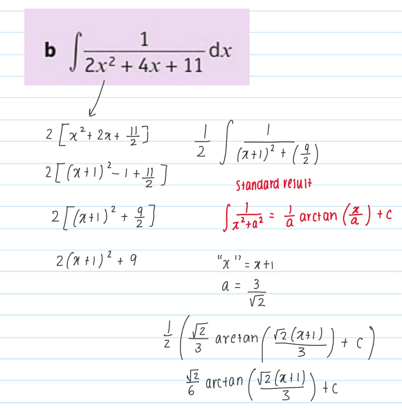
14
Q
A
How well did you know this?
1
Not at all
2
3
4
5
Perfectly
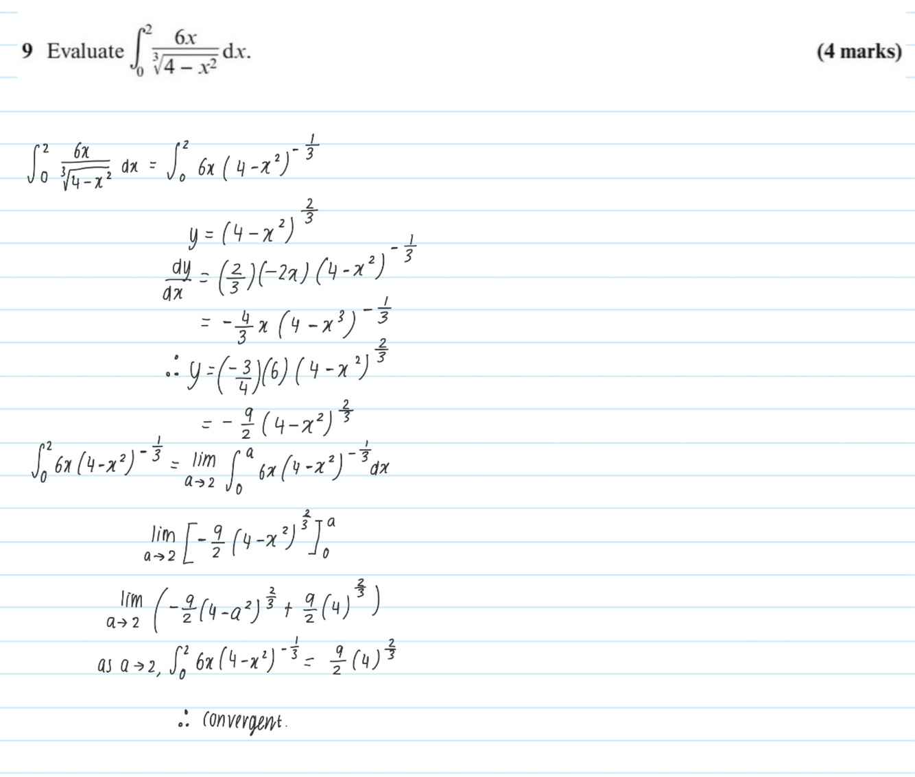
15
Q
A
How well did you know this?
1
Not at all
2
3
4
5
Perfectly
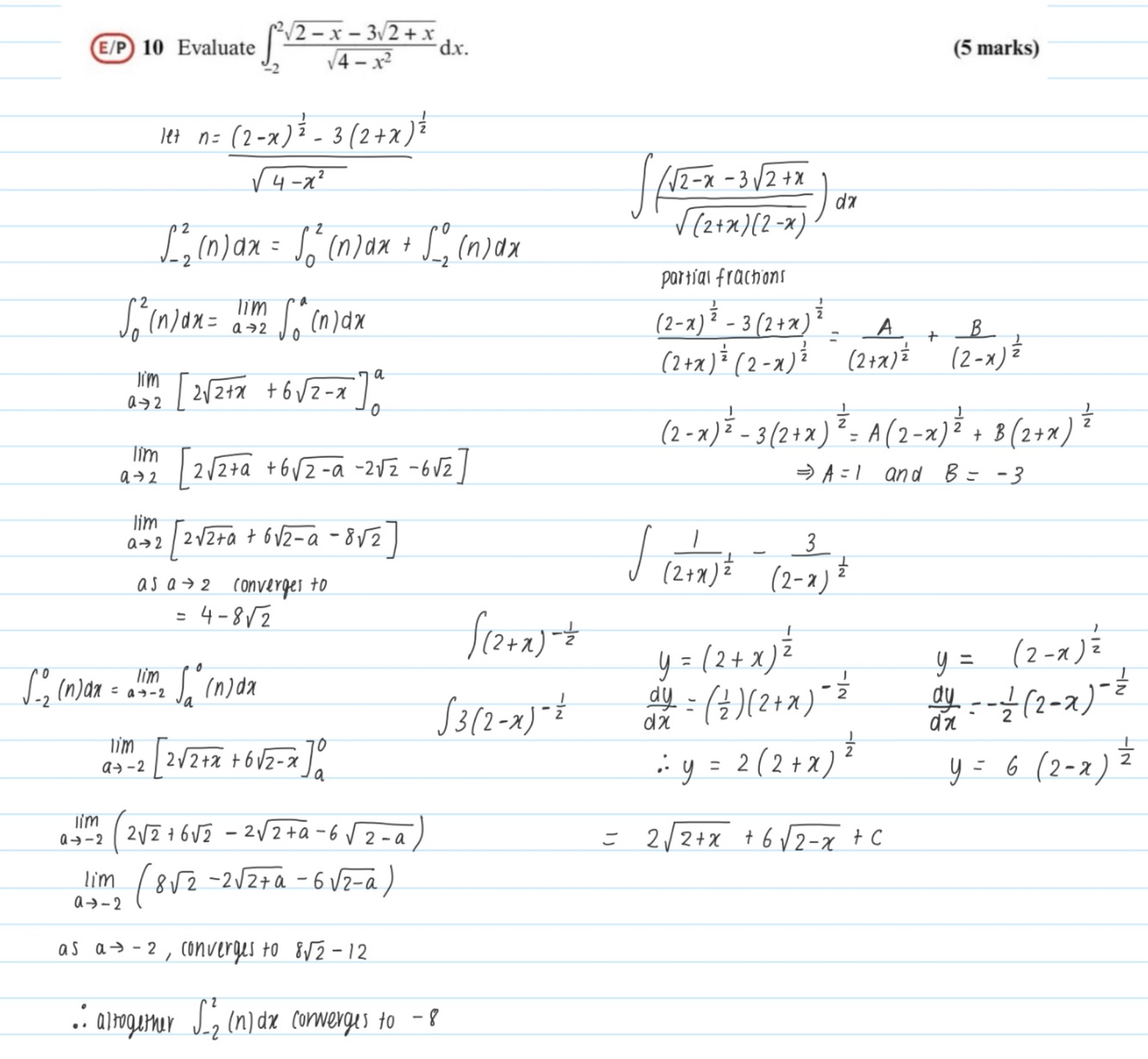
19
Q

Simple smaller substitutions to save time, making use of formula sheet

A

Using first principles wastes too much time