Vectors Flashcards

(33 cards)

1
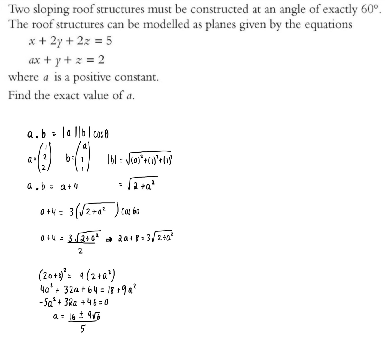
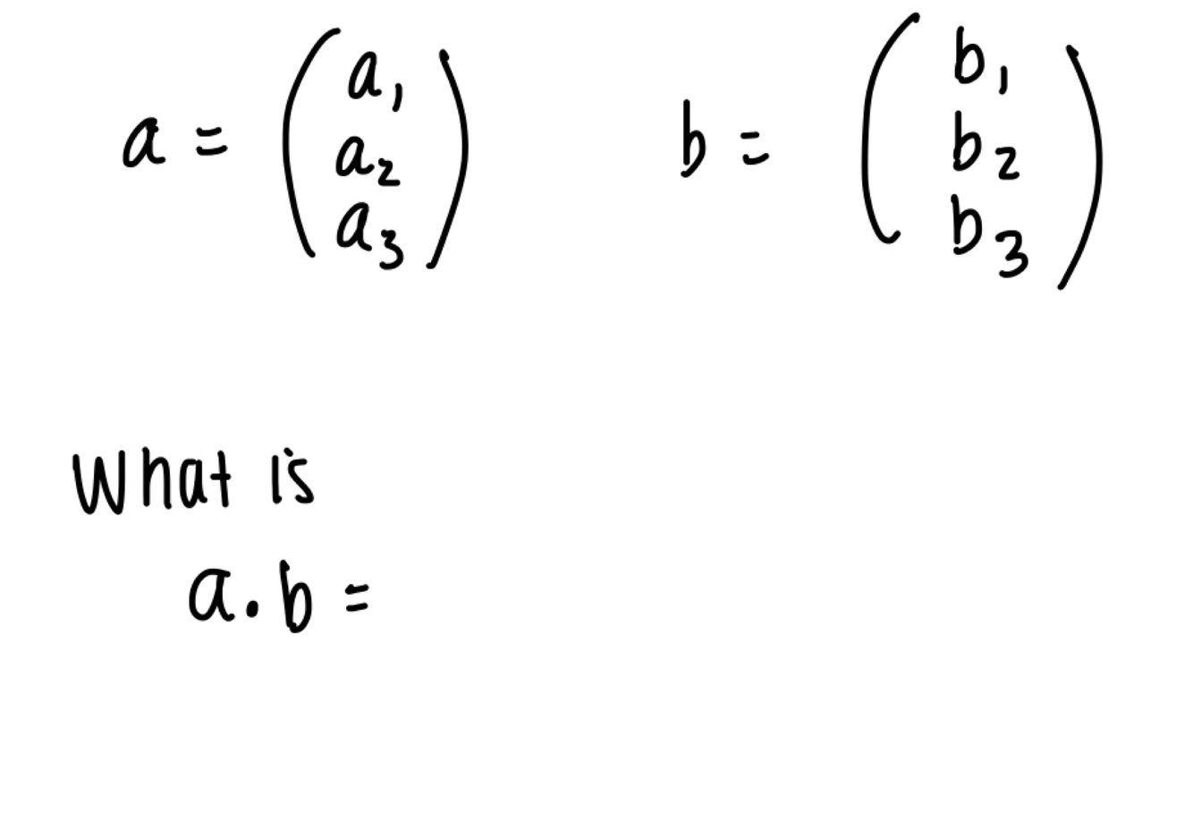
Q

What is the scalar product of two vectors?

A
How well did you know this?
1
Not at all
2
3
4
5
Perfectly
2
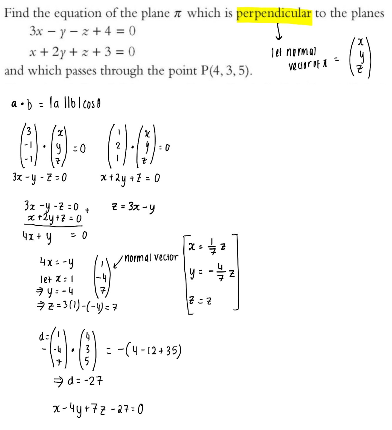
Q
A
How well did you know this?
1
Not at all
2
3
4
5
Perfectly
3
Q

What is important about the angle that must be considered in the door scalar method?

A

Angle of both vectors leaving a point

How well did you know this?
1
Not at all
2
3
4
5
Perfectly
4
Q
A
How well did you know this?
1
Not at all
2
3
4
5
Perfectly
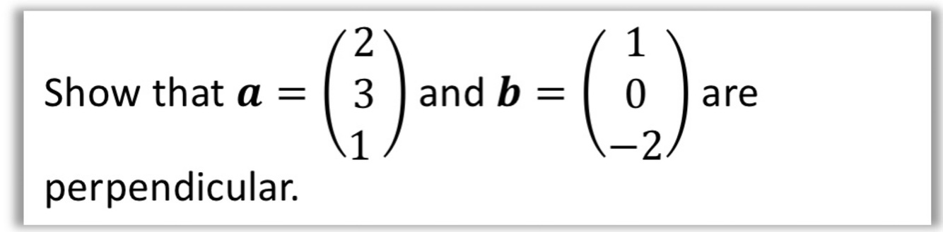
5
Q

What is the dot product of 2 vectors that are perpendicular?

A
How well did you know this?
1
Not at all
2
3
4
5
Perfectly
6
Q
A
How well did you know this?
1
Not at all
2
3
4
5
Perfectly
7
Q

What is a position vector?

A

(Directions how to get onto the line) - vector of a point on a line

denoted as a

How well did you know this?
1
Not at all
2
3
4
5
Perfectly
8
Q

What is a direction vector?

A

(Gradient) how to move up and down a line

denoted as b

How well did you know this?
1
Not at all
2
3
4
5
Perfectly
9
Q

What is the vector equation for a line in 3D?

A
How well did you know this?
1
Not at all
2
3
4
5
Perfectly
10
Q
A
How well did you know this?
1
Not at all
2
3
4
5
Perfectly
11
Q

What is the vector CD?

A

C—>D = d-c

How well did you know this?
1
Not at all
2
3
4
5
Perfectly
12
Q
A
How well did you know this?
1
Not at all
2
3
4
5
Perfectly
13
Q

What is the Cartesian equation of a line general form from the vector equation of a line?

A
How well did you know this?
1
Not at all
2
3
4
5
Perfectly
14
Q
A
How well did you know this?
1
Not at all
2
3
4
5
Perfectly
15
Q

What is the vector equation for a plane?

A
How well did you know this?
1
Not at all
2
3
4
5
Perfectly
17
Q

What is the Cartesian equation of a plane (in 3D) ?

18
Q

What is the geometric interpretation of d in the Cartesian equation of a plane ?

A

If a, b ,c are the same then the planes are parallel, d determines the location of the plane. The normal vector (a, b,c) determines the direction

19
Q

how do you calculate the angle between two lines?

A
  1. look at the direction vectors of two lines
  2. scalar product
20
Q

how do you calculate the angle between 2 planes?

A
  1. look at the normal vector of the two planes
  2. scalar product

make sure you give acute angle (180 - x) if asked

24
Q

2 equations one point given

25
26
what are the 5 possible ways within which 3 planes can intersect?
1. all 3 planes parallel 2. 2 planes parallel and one cutting through (no planes parallel) 3. all points intersect at 1 point 4. **sheaf**: all 3 planes share a common line 5. **triangular prisim**: 3 pairs of straight lines are all parallel
27
what does a sheaf look like?
28
what does a triangular prism look like?
29
How do you determine which of the 5 possible scenarios of intersections are taking place for the 3 planes?
30
31
32
33