Hyperbolic Functions Flashcards

(48 cards)

1
Q

Define cosh(x)

A
How well did you know this?
1
Not at all
2
3
4
5
Perfectly
2
Q

Define sinh(x)

A
How well did you know this?
1
Not at all
2
3
4
5
Perfectly
3
Q

Define tanh(x)

A
How well did you know this?
1
Not at all
2
3
4
5
Perfectly
4
Q
A

Aka hyperbolic identity for sin^2 + cos^2 = 1

How well did you know this?
1
Not at all
2
3
4
5
Perfectly
5
Q
A
How well did you know this?
1
Not at all
2
3
4
5
Perfectly
6
Q
A
How well did you know this?
1
Not at all
2
3
4
5
Perfectly
7
Q

Draw the graph of cosh(x), and what are domain and range?

A
How well did you know this?
1
Not at all
2
3
4
5
Perfectly
8
Q

Draw the sinh(x) graph and what are the domain and range

A
How well did you know this?
1
Not at all
2
3
4
5
Perfectly
9
Q

Draw the tanh (x) graph and what are the domain and range

A
How well did you know this?
1
Not at all
2
3
4
5
Perfectly
10
Q

What do the reciprocal graphs coth, sech and cosech look like?

A
How well did you know this?
1
Not at all
2
3
4
5
Perfectly
11
Q

What are the domain and ranges of coth,sech and cosech graphs?

A
How well did you know this?
1
Not at all
2
3
4
5
Perfectly
12
Q

How are the following trigonometric identities shown as hyperbolic identities

A

Wherever there is sin^2 it gets replaced with a negative (Osborne’s rule)

How well did you know this?
1
Not at all
2
3
4
5
Perfectly
13
Q
A
How well did you know this?
1
Not at all
2
3
4
5
Perfectly
14
Q
A
How well did you know this?
1
Not at all
2
3
4
5
Perfectly
15
Q
A
How well did you know this?
1
Not at all
2
3
4
5
Perfectly
16
Q
A
How well did you know this?
1
Not at all
2
3
4
5
Perfectly
17
Q
A

Yaya

How well did you know this?
1
Not at all
2
3
4
5
Perfectly
18
Q
A
How well did you know this?
1
Not at all
2
3
4
5
Perfectly
19
Q
A
How well did you know this?
1
Not at all
2
3
4
5
Perfectly
21
Q
A

Never integrate the e always simplify to cosh/ sinh form and then integrate

23
Q

What must be done to the domain of cosh(x) to define arcosh(x) ?

25
26
What are the restrictions of cosh (x) when defining the arcosh (x) graph?
27
Draw and define
28
29
Derive the logarithmic form of tanh(x)
30
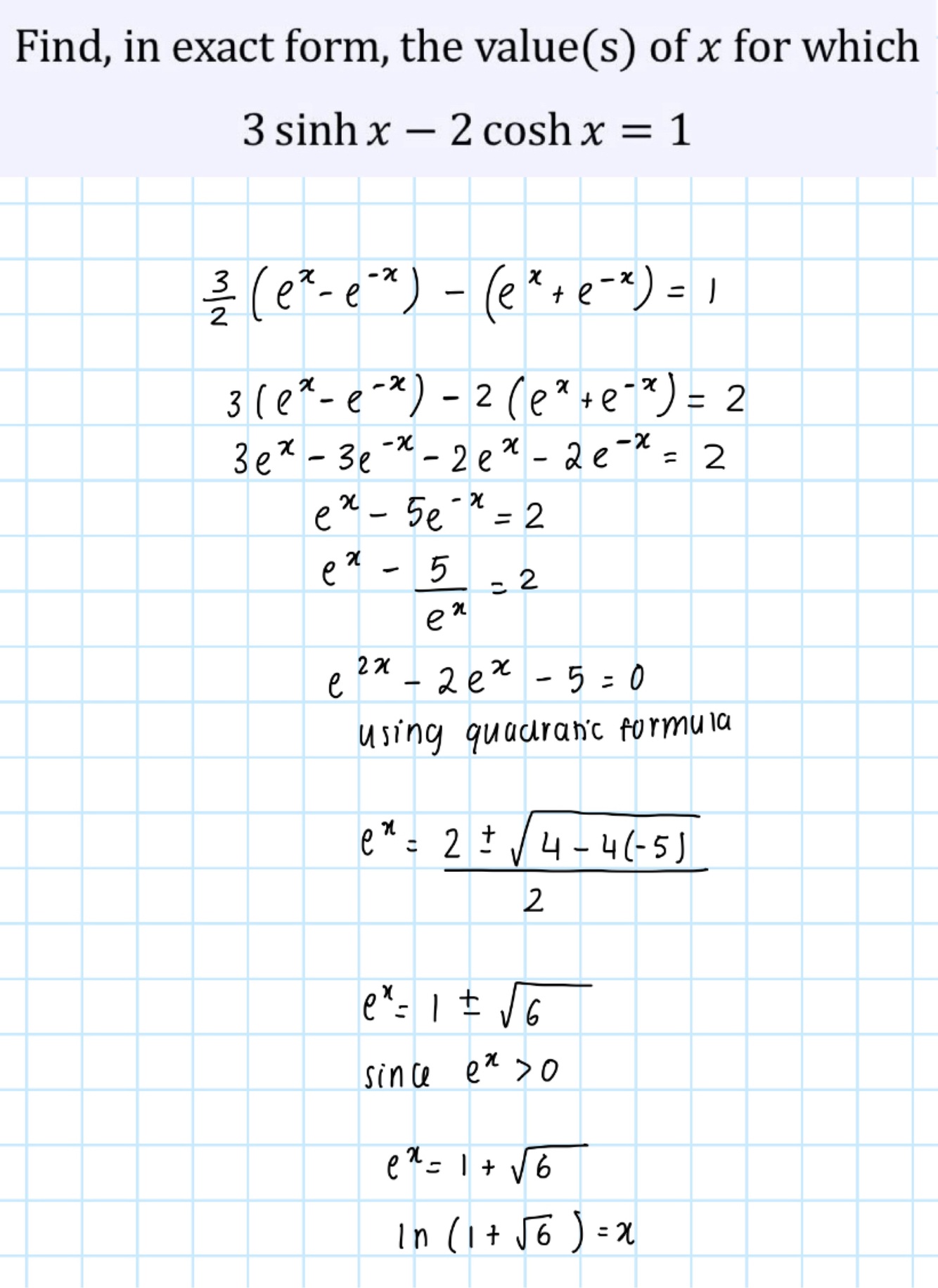
What is special about cosh(x) when solving for solutions?
Graph is symmetrical so have to do +- ln(x) when solving using arcosh(x)
31
Prove the two solutions for arcosh (x)
32
33
34
35
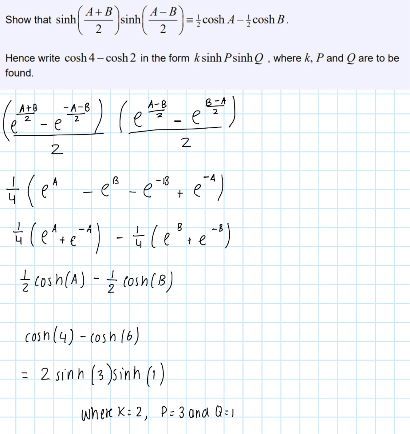
Compound angle formula with hyperbolic
36
37
What is the derivative of artan(x) ?
NOT GIVEN AND NEED TO KNOW
38
39
Whenever doing arcosh(x) with ln solution, need to have a +- in the ln
40
41
42
43
Integrate
44
45
46
47
48