Reagent vs. reactant
Solvent vs. solute
Solubility
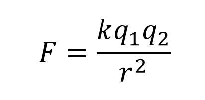
Coulomb’s Law

What happens to ionic compounds in water?
Strong electrolyte vs. weak electrolyte vs. nonelectrolyte
What is the formula for the dissociation of calcium chloride?
CaCl2 (s) –> Ca2+ (aq) + 2Cl- (aq)
Write the formulas of the ions separately, to show that they are independent of each other.
Describe the 3 types of equations for a reaction between solutions of electrolytes
ionic compounds vs. molecular compounds
Solubility rules for ionic compounds in water:
What are the rules for soluble compounds?
Write in dissociated form:
Solubility rules for ionic compounds in water:
What are the rules for insoluble compounds?
Dissolve vs. dissociate vs. ionize
What does is mean to be soluble?
Soluble means it dissolves
and in the case of electrolytes, dissociates
(breaks up into its ions).
Different from miscible.
What are strong and weak electrolytes?
Salt
An ionic compound that is neither an acid nor a base
Acid
Acids are ionic compounds that increase the concentration of H3O+ in water.
Base
What are types of reactions?

When is there no reaction?
What are gas forming reactions?

What is molarity, and its relevant equations?
What are the important pH equations?