What type of data are PMFs used for?
Discrete variables.
Define Probability Mass Function
A lidt of relative frequencies/probabilities associated with each of its possible values.
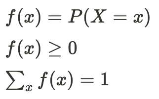
What is the formal (mathematical) definition of PMF?

What is the Bernoulli distribution?
General version of the PMF for coin tossing:
f(0) = P(X=0) = p, f(1) = P(X=1) = 1-p
What is categorical distribution?
AKA generalised Bernoulli distribution, or multinoulli distribution.

The PMF for binomial variables
