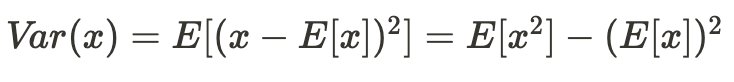
Define variance
The variability/spread of the distribution given by the mean of the difference between the variable and its expectation.
By defintion, must be non-negative.

Equations for variance

Standard deviation and variance
Standard deviation is the square root of the variance.
Formula for the variance for a uniform distribution

Formula for variance of binary/indicator variables
