Prelims - Quantz > M3. Conditional Expectations > Flashcards
What are conditional expectations?
The expected values of conditional distributions arising from multivariate data.
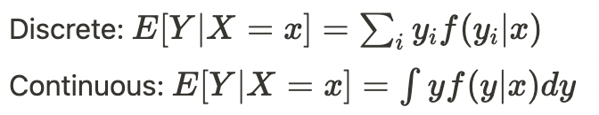
Mathematical definition of conditional expectations

Properties of conditional expectations

Difference between E[Y|X] and E[Y|X=x]
