Definitions - 1st Partial Flashcards

(68 cards)

1
Q

Interval

A
How well did you know this?
1
Not at all
2
3
4
5
Perfectly
2
Q

Upper Bound

A
How well did you know this?
1
Not at all
2
3
4
5
Perfectly
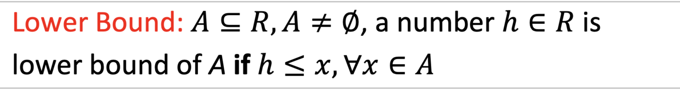
3
Q

Lower Bound

A
How well did you know this?
1
Not at all
2
3
4
5
Perfectly
4
Q

Maximum

A
How well did you know this?
1
Not at all
2
3
4
5
Perfectly
5
Q

Minimum

A
How well did you know this?
1
Not at all
2
3
4
5
Perfectly
6
Q

Absolute Value

A
How well did you know this?
1
Not at all
2
3
4
5
Perfectly
7
Q

Distance

A
How well did you know this?
1
Not at all
2
3
4
5
Perfectly
8
Q

Norm

A
How well did you know this?
1
Not at all
2
3
4
5
Perfectly
9
Q

Neighbourhood

A

such that |a-xo|=|b-xo|=epsilon

How well did you know this?
1
Not at all
2
3
4
5
Perfectly
10
Q

Segment

A
How well did you know this?
1
Not at all
2
3
4
5
Perfectly
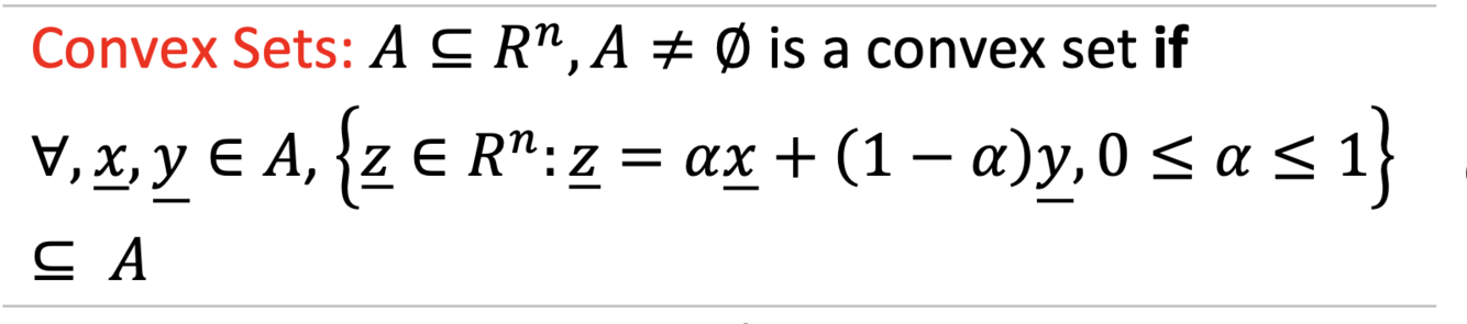
11
Q

Convex Set

A
How well did you know this?
1
Not at all
2
3
4
5
Perfectly
12
Q

Interior Point

A
How well did you know this?
1
Not at all
2
3
4
5
Perfectly
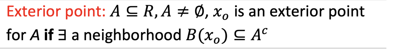
13
Q

Exterior Point

A
How well did you know this?
1
Not at all
2
3
4
5
Perfectly
14
Q

Boundary Point

A
How well did you know this?
1
Not at all
2
3
4
5
Perfectly
15
Q

Open Set

A

remember, interior point means there exists a neighbourhood of xo contained in A

How well did you know this?
1
Not at all
2
3
4
5
Perfectly
16
Q

Closed Set

A

Recall boundary point def.

How well did you know this?
1
Not at all
2
3
4
5
Perfectly
17
Q

Bounded

A
How well did you know this?
1
Not at all
2
3
4
5
Perfectly
18
Q

Compact set

A

If it is both closed and bounded. (Recall both)

How well did you know this?
1
Not at all
2
3
4
5
Perfectly
19
Q

Isolated Point

A
How well did you know this?
1
Not at all
2
3
4
5
Perfectly
20
Q

Function

A
How well did you know this?
1
Not at all
2
3
4
5
Perfectly
21
Q

Range/Image

A
How well did you know this?
1
Not at all
2
3
4
5
Perfectly
22
Q

Preimage / inverse Image

A
How well did you know this?
1
Not at all
2
3
4
5
Perfectly
23
Q

Surjective

A
How well did you know this?
1
Not at all
2
3
4
5
Perfectly
24
Q

Injective / Invertible

A
How well did you know this?
1
Not at all
2
3
4
5
Perfectly
25
Bijective
Recall definitions for both
26
Inverse function
27
(Strictly) Increasing
28
(Strictly) Monotone
29
Global Maximiser (Strong / Strict)
30
Local Maximizer (Minimizer)
31
Strictly Convex (Concave)
32
Convex (Concave)
33
Quasi-Convex (Concave)
34
Affine
both convex & concave
35
Inflection point
36
Level Curve/Set
37
Upper (lower) Contour Set
38
Limit of a sequence
39
Diverging to +infinity
40
Diverging to -infinity
41
Increasing sequence
42
Geometric sequence
43
Arithmetic sequence
44
Scales of Infinity
(speed to infinity)
45
Napiers Number (e)
46
Asymptotic (sequences)
47
Little o
48
Series
49
Limit of a function at a point
50
Vertical Asymptote
51
Horizontal Asymptote
52
Fundamental / Notable Limits
53
Asymptotic (functions
54
Continuity at x_0
55
Continuity in A
Recall continuity at x_0
56
Hole
57
Jump
58
Weierstrauss Theorem
59
Bolzano Theorem
60
Darboux Theorem
61
Supremum
62
Characterization theorem for limits of functions using limits of sequences
63
Pythagorean theorem in R^n
64
Orthogonal, Orthonormal
65
Coersive
66
Supercoersive
67
Converging Sequence
68
Bound Sequence