Definitions - 2nd Partial Flashcards

(41 cards)

1
Q

Difference Quotient

A
How well did you know this?
1
Not at all
2
3
4
5
Perfectly
2
Q

Derivative

A
How well did you know this?
1
Not at all
2
3
4
5
Perfectly
3
Q

Differentiable & Differential

A
How well did you know this?
1
Not at all
2
3
4
5
Perfectly
4
Q

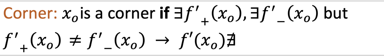
Corner

A
How well did you know this?
1
Not at all
2
3
4
5
Perfectly
5
Q

Cuspial

A
How well did you know this?
1
Not at all
2
3
4
5
Perfectly
6
Q

Convex / Concave

A

Recall def of differentiable

How well did you know this?
1
Not at all
2
3
4
5
Perfectly
7
Q

Taylor’s Theorem

A
How well did you know this?
1
Not at all
2
3
4
5
Perfectly
8
Q

Maclaurins Formulae

A
How well did you know this?
1
Not at all
2
3
4
5
Perfectly
9
Q

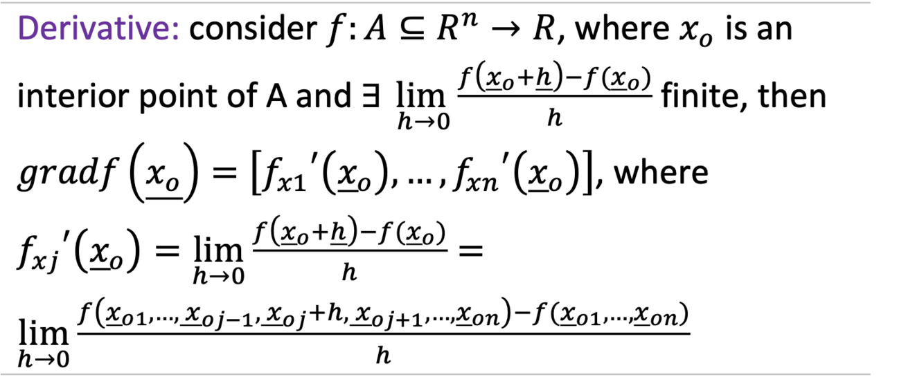
Derivative R^n

A
How well did you know this?
1
Not at all
2
3
4
5
Perfectly
10
Q

Saddle Point

A
How well did you know this?
1
Not at all
2
3
4
5
Perfectly
11
Q

Stationary Point

A
How well did you know this?
1
Not at all
2
3
4
5
Perfectly
12
Q

Auxiliary Langrangean Function

A
How well did you know this?
1
Not at all
2
3
4
5
Perfectly
13
Q

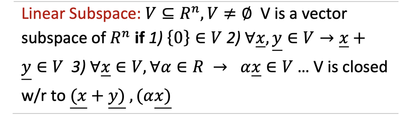
Linear Subspace

A
How well did you know this?
1
Not at all
2
3
4
5
Perfectly
14
Q

Span of a Set

A
How well did you know this?
1
Not at all
2
3
4
5
Perfectly
15
Q

Linear Independent

A
How well did you know this?
1
Not at all
2
3
4
5
Perfectly
16
Q

Linear Dependent

A
How well did you know this?
1
Not at all
2
3
4
5
Perfectly
17
Q

Basis of R^n

18
Q

Basis of Linear Subspace of R^n

19
Q

Dimensions of a Linear Subspace

20
Q

Linear Function

21
Q

Image / Image Space

23
Q

Nullity of f

24
Q

Surjective

25
Injective
26
Bijective
27
Rank by Columns / Rows
28
Possible Solutions Ax = b
29
Set of Solutions
30
Identity Matrix
31
Inverse Matrix
Recall def of adjoint matrix
32
Adjoint Matrix
33
Cofactor
34
Laplaces Definition (Determinant)
35
Minor
36
Cramer's Theorem
37
Non-Homogeneous Linear Systems
38
Homogeneous Linear Systems
39
Riesz-Markov Representation Theorem
40
Increasing (Strongly, Strictly); Positive (Strictly, Strongly)
41
A function is Lipschnitz if
Corollary: derivative is bounded < or equal L (comes directly from mean value theorem, supposing f(x) less than or equal L)