Proofs - 1st Partial Flashcards

(27 cards)

1
Q

De Morgan’s Laws (*)

A
How well did you know this?
1
Not at all
2
3
4
5
Perfectly
2
Q

Property of the double complement (H)

A
How well did you know this?
1
Not at all
2
3
4
5
Perfectly
3
Q

Uniqueness theorem for the maximum/minimum of a set (H)

A
How well did you know this?
1
Not at all
2
3
4
5
Perfectly
4
Q

Characterization theorem for the supremum/infimum of a set, using left/right neighborhoods (H)

A
How well did you know this?
1
Not at all
2
3
4
5
Perfectly
5
Q

Triangle inequality for the norm (H)

A
How well did you know this?
1
Not at all
2
3
4
5
Perfectly
6
Q

All neighborhoods are open sets (*)

A
How well did you know this?
1
Not at all
2
3
4
5
Perfectly
7
Q

prompt

A set is open if and only if its complement set is closed (H)

clarifier

footnote

A
How well did you know this?
1
Not at all
2
3
4
5
Perfectly
8
Q

A monotone function is invertible if and only if it is strictly monotone (*)

A
How well did you know this?
1
Not at all
2
3
4
5
Perfectly
9
Q

Preservation of maximizers/minimizers with respect to strictly increasing composition (*)

A
How well did you know this?
1
Not at all
2
3
4
5
Perfectly
10
Q

Fenchel’s theorem: local-global maximum (minimum) property for concave (convex) functions (*)

A
How well did you know this?
1
Not at all
2
3
4
5
Perfectly
11
Q

Concave (convex) functions have convex upper (lower) contour sets (*)

A
How well did you know this?
1
Not at all
2
3
4
5
Perfectly
12
Q

Concave (convex) functions are quasi-concave (quasi-convex) (H).

A
How well did you know this?
1
Not at all
2
3
4
5
Perfectly
13
Q

For an eventually strictly positive sequence xn, xn tends to +infinity if and only if 1/xn tends to zero (*)

A
How well did you know this?
1
Not at all
2
3
4
5
Perfectly
14
Q

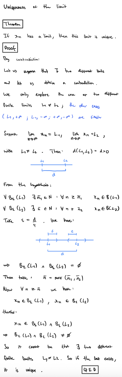
Theorem on the uniqueness of the limit for sequences (* only in the case of finite limits)

A
How well did you know this?
1
Not at all
2
3
4
5
Perfectly
15
Q

Boundedness theorem for convergent sequences (H)

A
How well did you know this?
1
Not at all
2
3
4
5
Perfectly
16
Q

Regularity theorem for monotone sequences (*)

17
Q

Limit of a sum of sequences (* only in the case of finite limits)

18
Q

Comparison criterion for sequences (*)

19
Q

Theorem on the characterization of xn ~ yn with the use of o (H)

20
Q

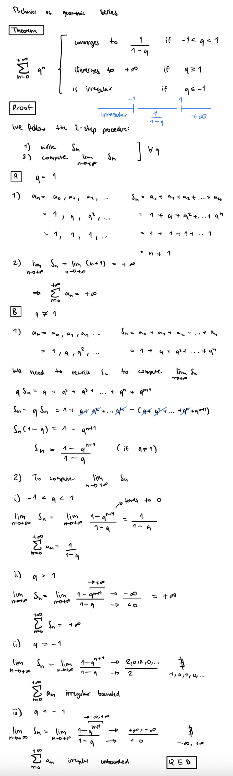
Behavior of the geometric series (*)

21
Q

Behavior of the Mengoli series (H)

22
Q

Necessary condition for the convergence of a series (H)

23
Q

Regularity theorem for series with positive terms (H)

24
Q

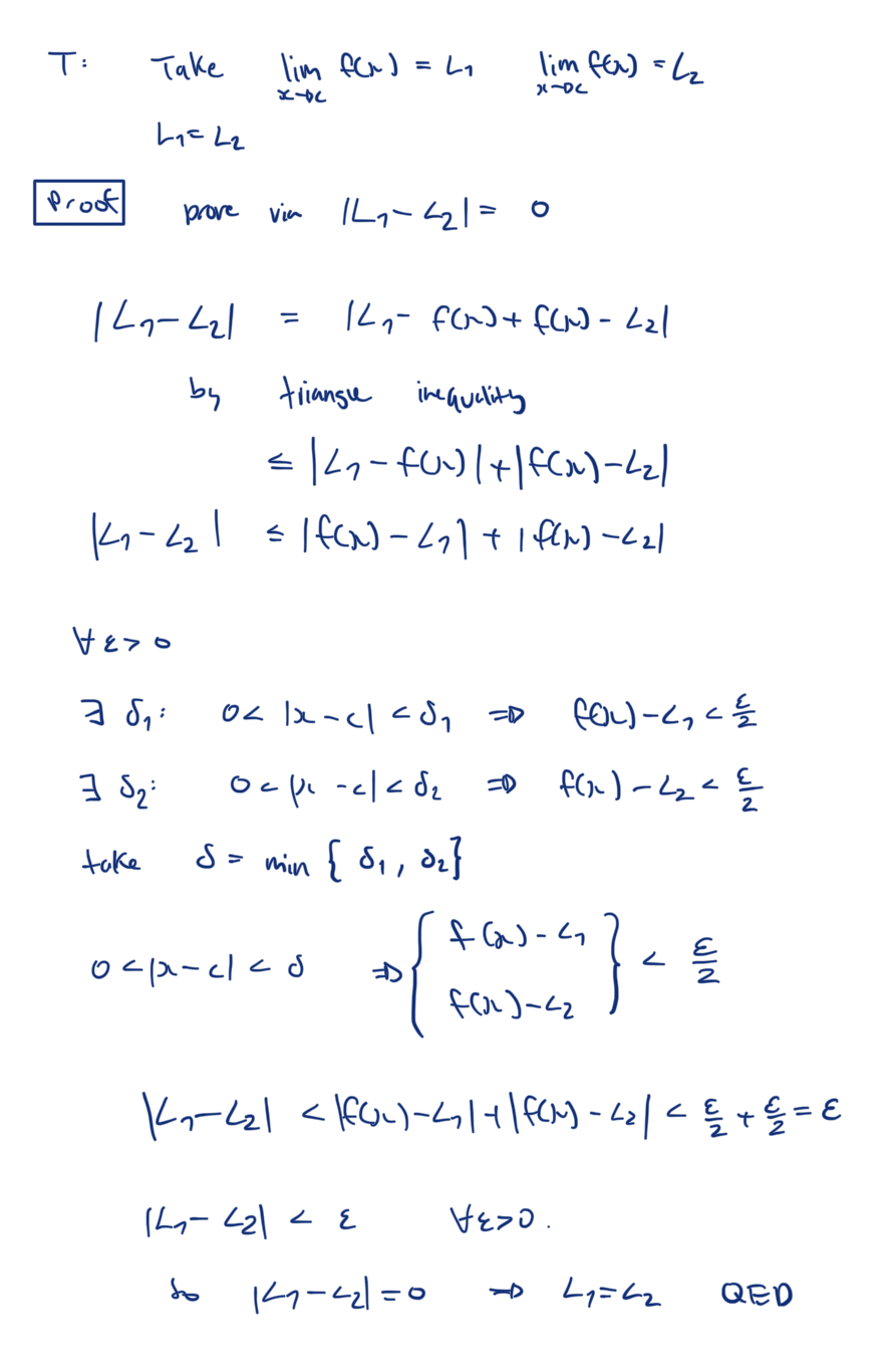
Theorem on the uniqueness of the limit for functions (H only in the case of finite limits)

25
Limit of a sum of functions (* only in the case of finite limits)
26
Comparison criterion for functions (H)
27
Tonelli’s theorem (*, excluding the remark on C closed)