Proofs - 2nd Partial Flashcards

(30 cards)

1
Q

Derivative of a constant (H)

A
How well did you know this?
1
Not at all
2
3
4
5
Perfectly
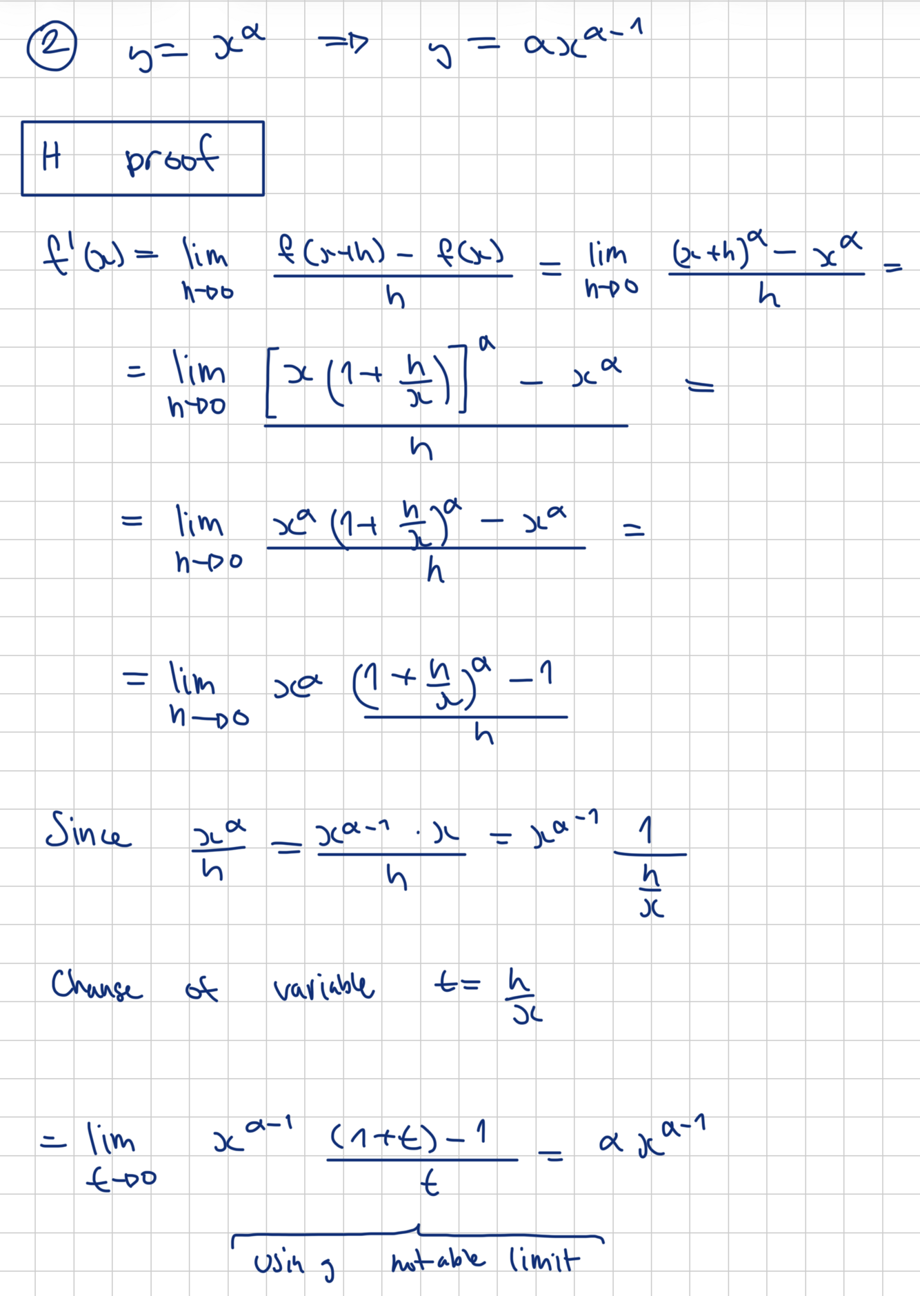
2
Q

Derivative of y = xa (H)

A
How well did you know this?
1
Not at all
2
3
4
5
Perfectly
3
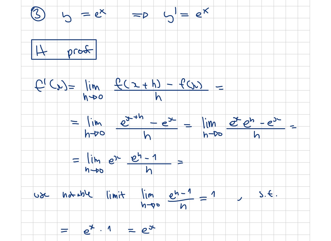
Q

Derivative of y = ex (H)

A
How well did you know this?
1
Not at all
2
3
4
5
Perfectly
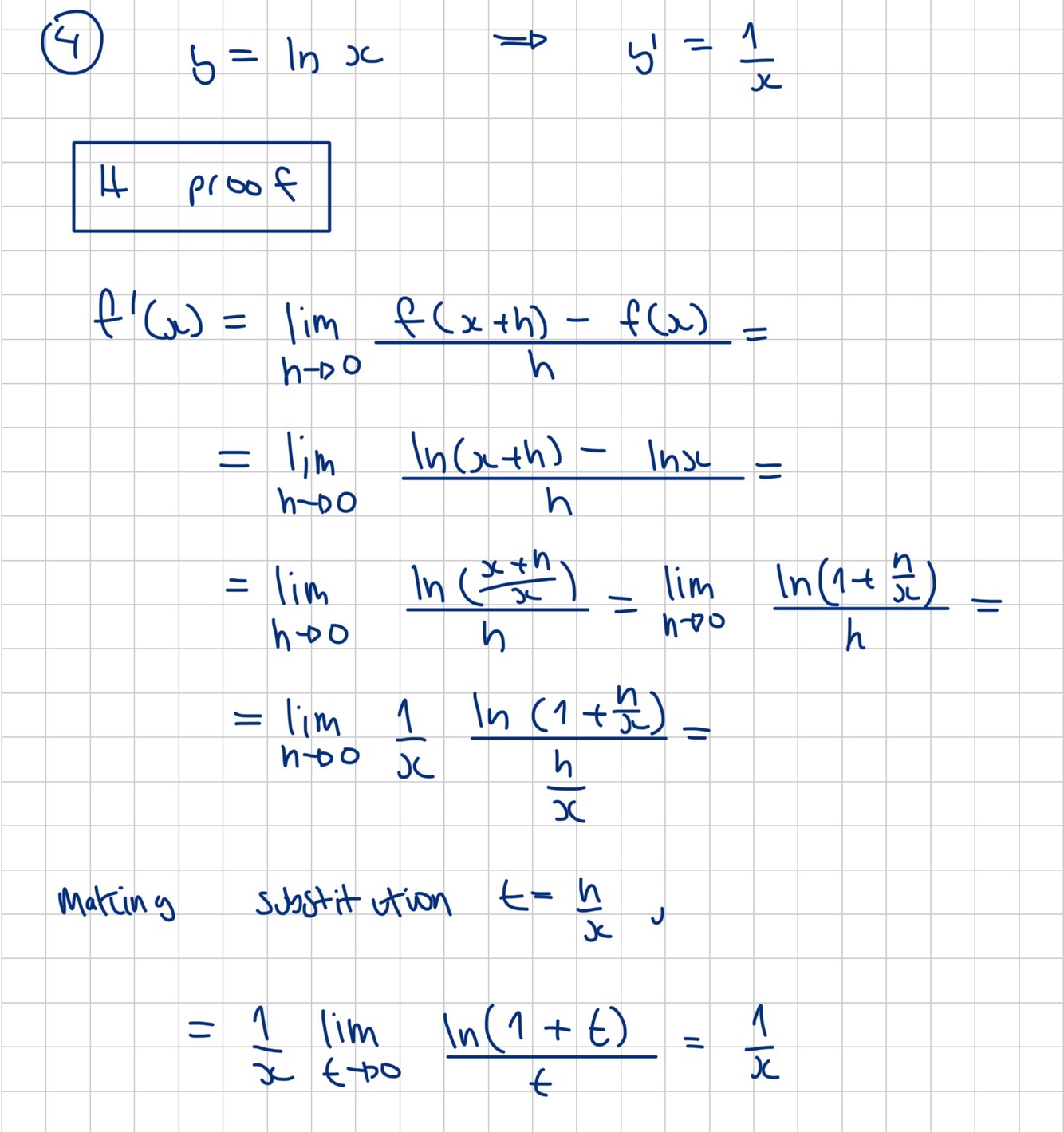
4
Q

Derivative of y = lnx (H)

A
How well did you know this?
1
Not at all
2
3
4
5
Perfectly
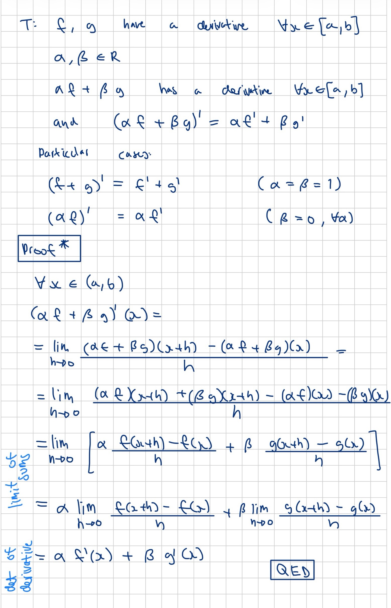
5
Q

Derivative of a linear combination (*)

A
How well did you know this?
1
Not at all
2
3
4
5
Perfectly
6
Q

Relationship between derivability and continuity (*)

A
How well did you know this?
1
Not at all
2
3
4
5
Perfectly
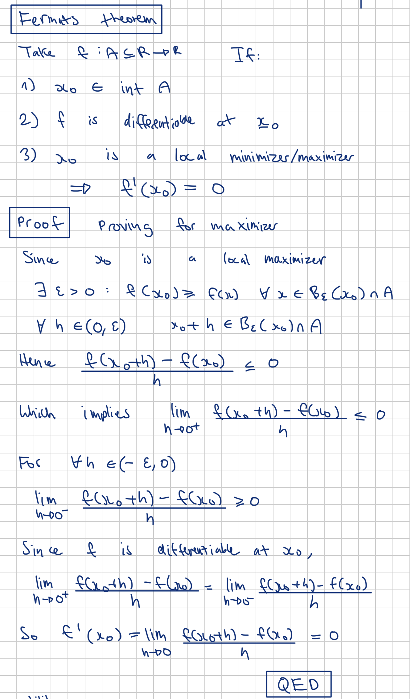
7
Q

One-variable necessary condition for local maximizers/minimizers (Fermat’s theorem) (H)

A
How well did you know this?
1
Not at all
2
3
4
5
Perfectly
8
Q

Rolle’s theorem (H)

A
How well did you know this?
1
Not at all
2
3
4
5
Perfectly
9
Q

Lagrange’s mean value theorem (H)

A

Proof Summary: take g(x), use rolles

How well did you know this?
1
Not at all
2
3
4
5
Perfectly
10
Q

Characterization of functions with a null derivative (H)

A
How well did you know this?
1
Not at all
2
3
4
5
Perfectly
11
Q

Characterization of functions with the same derivative (H)

A
How well did you know this?
1
Not at all
2
3
4
5
Perfectly
12
Q

(Strict) Monotonicity test on an interval (*) (2 proofs in 1)

A
How well did you know this?
1
Not at all
2
3
4
5
Perfectly
13
Q

N-variable necessary condition for unconstrained local maximizers/minimizers (Fermat’s theorem) (H)

A
How well did you know this?
1
Not at all
2
3
4
5
Perfectly
14
Q

Characterization of SpanS with linear combinations (*)

A
How well did you know this?
1
Not at all
2
3
4
5
Perfectly
15
Q

Property of unique writing for a basis (*)

A
How well did you know this?
1
Not at all
2
3
4
5
Perfectly
16
Q

Determination of the coefficients of a vector in Rn, with respect to an orthonormal basis (H)

17
Q

Riesz’s representation theorem for functions f: Rn -> R(m) (*)
(2 proofs in 1)

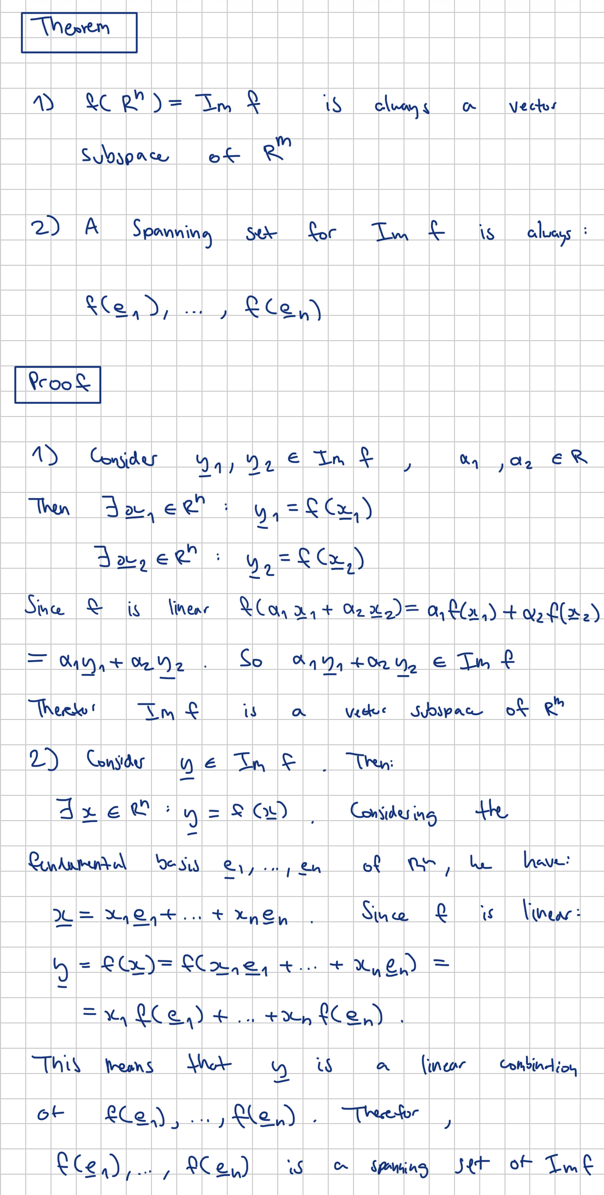
18
Q

The image space is a subspace, spanned by the image of the standard basis (*)

A

Take f:R^n -> R^m Linear

19
Q

The kernel is a subspace (H)

A

Take f:R^n ->R^m Linear
Note! : Ker f not necessarily a subspace of R^m (if n>m, certainly not)

20
Q

Determinant of the inverse matrix (H)

21
Q

Kronecker-Capelli’s theorem (*)

22
Q

Cramer’s theorem (H)

23
Q

Derivative of y = arctanx (H).

24
Q

Relationship between derivability and differentiability (H)

25
The intersection of subspaces is a subspace (*). 
26
Maclaurin's expansion for y = ex (H)
27
Maclaurin's expansion for y = sinx (H)
28
Maclaurin's expansion for y = cosx (H)
29
Maclaurin's expansion for y = ln(1+x) (H)
30
Maclaurin Expansion y=(1+x)^a (Proof not required)