Differentiation Flashcards

(8 cards)

1
Q

General Formula of a Maclaurin Series

A
How well did you know this?
1
Not at all
2
3
4
5
Perfectly
2
Q

General Formula of a Taylor Series

A
How well did you know this?
1
Not at all
2
3
4
5
Perfectly
3
Q

Gradient of a scalar function

A

Take partial derivatives

How well did you know this?
1
Not at all
2
3
4
5
Perfectly
4
Q

Directional gradient of a scalar function

A

The scalar product of the Gradient of the scalar function and the unit vector of the direction

How well did you know this?
1
Not at all
2
3
4
5
Perfectly
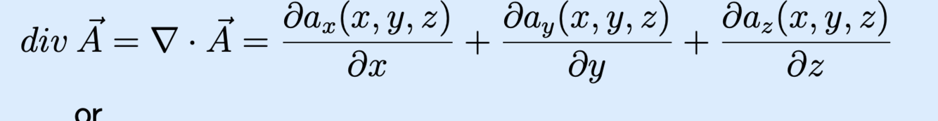
5
Q

Is divergence scalar or cross product

A

Divergence is nabla dot vector function

How well did you know this?
1
Not at all
2
3
4
5
Perfectly
6
Q

Is curl dot or cross product

A

Curl is cross product
`

How well did you know this?
1
Not at all
2
3
4
5
Perfectly
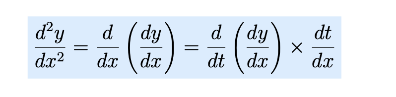
7
Q

What is the way to calculate the second parametric derivative

A
How well did you know this?
1
Not at all
2
3
4
5
Perfectly
8
Q
A
How well did you know this?
1
Not at all
2
3
4
5
Perfectly