Integration - Incomplete Flashcards

(21 cards)

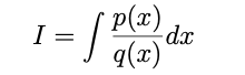
1
Q

What are the three cases for intergration of rational functions. I.e I = p(x)/q(x)

A

1: p(x) is the derivative of q(x)
2: p(x) is higher or equal in degree to q(x)
3: p(x) is lower in degree than q(x)

How well did you know this?
1
Not at all
2
3
4
5
Perfectly
2
Q

What is the solution to a type 1 rational function intergration. Where p(x) is the derivative of q(x)

A
How well did you know this?
1
Not at all
2
3
4
5
Perfectly
3
Q

What is the solution to a type 2 rational function. I.e where p(x) is higher or equal in degree to q(x)

A

Divide the fraction out

How well did you know this?
1
Not at all
2
3
4
5
Perfectly
4
Q

What is the solution to a type 3 rational function. p(x) is lower in degree than q(x)

A

Convert to partial fractions

How well did you know this?
1
Not at all
2
3
4
5
Perfectly
5
Q

What is a useful identity for integrating sin^2(x)

A

sin^2(x) = 0.5(1-cos(2x)

How well did you know this?
1
Not at all
2
3
4
5
Perfectly
6
Q

What is a useful substitution for

A

x = sin(θ)
because we know 1-sin^2(θ) = cos^2(θ)

How well did you know this?
1
Not at all
2
3
4
5
Perfectly
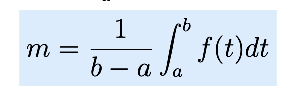
7
Q

How do you find the mean value across an interval

A
How well did you know this?
1
Not at all
2
3
4
5
Perfectly
8
Q

What is the notation for mean

A
  • Pointy brackets
How well did you know this?
1
Not at all
2
3
4
5
Perfectly
9
Q

What is mean sqaure

A
How well did you know this?
1
Not at all
2
3
4
5
Perfectly
10
Q

What is root mean square

A
How well did you know this?
1
Not at all
2
3
4
5
Perfectly
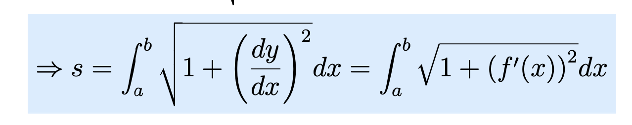
11
Q

What is the equation for the length of a curve

A
How well did you know this?
1
Not at all
2
3
4
5
Perfectly
12
Q

What is the equation for the length of a parametric arc

A
How well did you know this?
1
Not at all
2
3
4
5
Perfectly
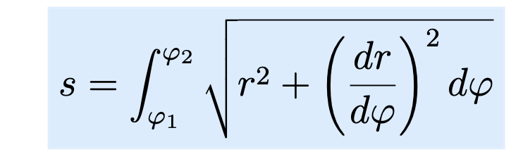
13
Q

What is the equation for the length of a polar curve

A
How well did you know this?
1
Not at all
2
3
4
5
Perfectly
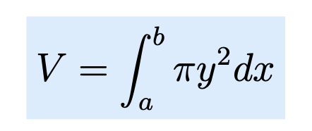
14
Q

What is the equation for a volume of revolution about the x axis

A
How well did you know this?
1
Not at all
2
3
4
5
Perfectly
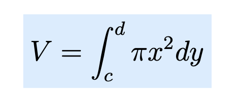
15
Q

What is the equation for a volume of revolution about the y axis

A
How well did you know this?
1
Not at all
2
3
4
5
Perfectly
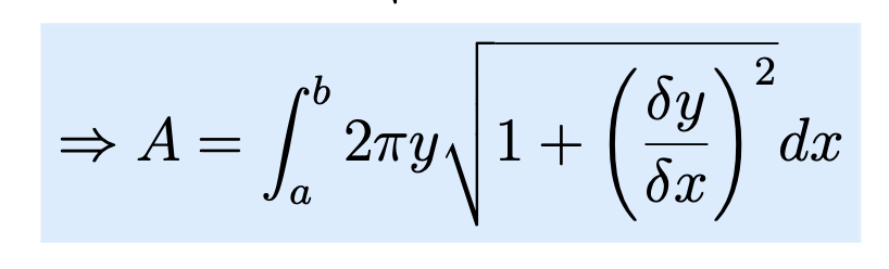
16
Q

What is the equation for the surface area of a revolved body

17
Q

What is the equation for a surface area of a revolved body

18
Q

What is the equation for the centre of mass located on the x axis

19
Q

What is the equation for the centre of mass located on the y axis

19
Q

What is the equation for the first moment of area