Functions Flashcards

(5 cards)

1
Q

What are the four types of partial fractions

A
  • Type 1: Linear Factor in denominator
  • Type 2: Repeated linear factor in denominator
  • Type 3: Quadratic factor
  • Type 4: Degree of numerator is greater or equal to the degree of the denominator
How well did you know this?
1
Not at all
2
3
4
5
Perfectly
2
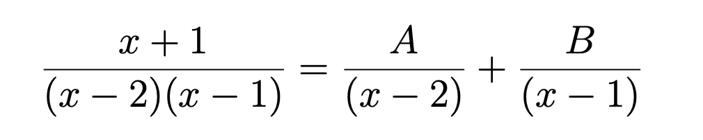
Q

What is the output of a type 1 partial fraction

A

Constants over linear factors

How well did you know this?
1
Not at all
2
3
4
5
Perfectly
3
Q

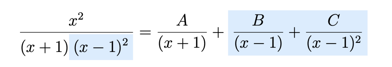
What is the output of a type 2 partial fraction.

A

Constants over linear factor PLUS constant over repeated factor

How well did you know this?
1
Not at all
2
3
4
5
Perfectly
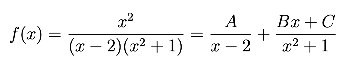
4
Q

What is the output of a type 3 partial fraction

A

Constant over linear PLUS linear over quadratic

How well did you know this?
1
Not at all
2
3
4
5
Perfectly
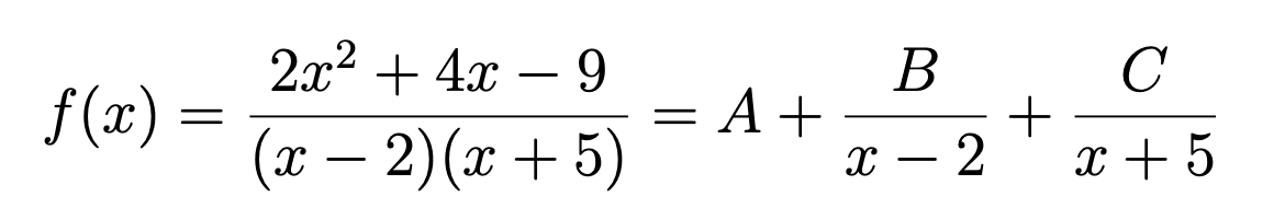
5
Q

What is the output of a type 4 partial fraction

A

Polynomial of degree (degree of numerator - degree of denominator) PLUS constants over linear or linear over quadratic

How well did you know this?
1
Not at all
2
3
4
5
Perfectly