Vectors Flashcards

(34 cards)

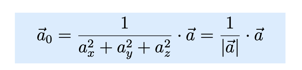
1
Q

How to find a unit vector

A

Unit vector = vector / absolute value of a vector

How well did you know this?
1
Not at all
2
3
4
5
Perfectly
2
Q

Definition of scalar product

A

a . b = |a||b|cos φ

How well did you know this?
1
Not at all
2
3
4
5
Perfectly
3
Q

What is the geometrical interpretation of a . b

A
  • Projecting the line a onto the line b
How well did you know this?
1
Not at all
2
3
4
5
Perfectly
4
Q

How do you calculate the scalar product of 2 vectors

A
  • ## Multiply each term in a by its corresponding term in b and then sum the products. It will give a scalar
How well did you know this?
1
Not at all
2
3
4
5
Perfectly
5
Q

What are the 6 basic rules for the scalar product

A
How well did you know this?
1
Not at all
2
3
4
5
Perfectly
6
Q

What is the vector product equation

A

a x b = |a||b|sinψ η(unit)

How well did you know this?
1
Not at all
2
3
4
5
Perfectly
7
Q

What is special about the vector η resulting from the vector product

A
  • It is perpendicular from both a & b
How well did you know this?
1
Not at all
2
3
4
5
Perfectly
8
Q

What is the geometrical interpretation of the vector product

A
  • ## The vector product is the area of the parrallogram of a b
How well did you know this?
1
Not at all
2
3
4
5
Perfectly
9
Q

What are the basic rules for Vector product

A
  • Anti-Commutative rule
  • Non associative multiplication
  • Disributive law
How well did you know this?
1
Not at all
2
3
4
5
Perfectly
10
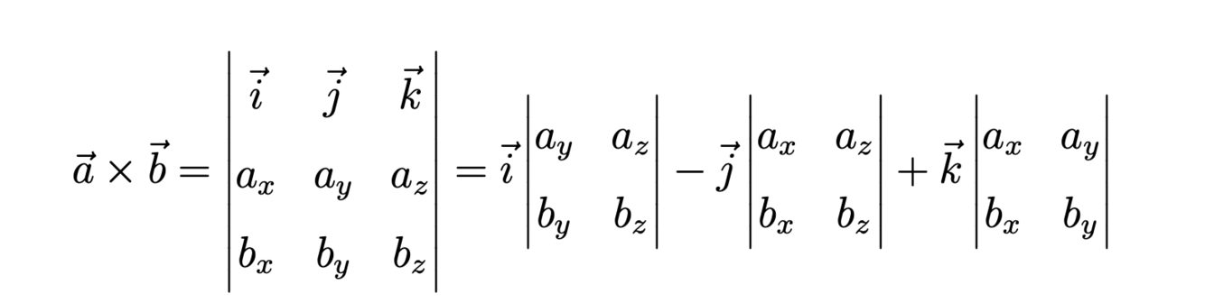
Q

What is the matrix method for calculating vector product

A
How well did you know this?
1
Not at all
2
3
4
5
Perfectly
11
Q

What is the alternative method for calculating vector product

A
How well did you know this?
1
Not at all
2
3
4
5
Perfectly
12
Q

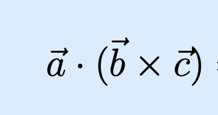
What is the triple scalar product

A

a . (b x c)

How well did you know this?
1
Not at all
2
3
4
5
Perfectly
13
Q

How to calculate the triple scalar product.

A
  • Do cross product on the brackets then do dot product on the results
How well did you know this?
1
Not at all
2
3
4
5
Perfectly
14
Q

Do the brackets matter for the triple scalar product

A

No

How well did you know this?
1
Not at all
2
3
4
5
Perfectly
15
Q

What is the triple vector product

A

a x (b x c)

How well did you know this?
1
Not at all
2
3
4
5
Perfectly
16
Q

What is the bac cab rule

A
  • The following identity is true for triple vector product
b(a.c) - c(a.b)
17
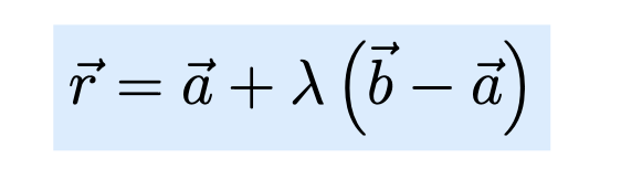
Q

What is the vector equation of a line

18
Q

Alternative for the vector equation of the line if we have vector c in direction of the line

19
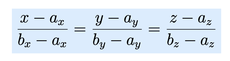
Q

Cartesian eqaution of a line

20
Q

How to get from vector equation to cartesian equation

21
Q

Name the values for λ that have key points of intrest

22
Q

What to do if the cartresian form of a line eqaution has 0 as a demoninatior

A
  • Solve in terms of x and y in one eqation and z in another
23
Q

What are the three possible cases for intersection of two lines

A
  • They do not intersect and the system of equations has no solutions
  • They intersect at a point whos position vector (x) is given by: {x = a+λc = b+μd} where a+λc and b+μd are the two eqations of lines
  • The system has an infinite number of solutions as the lines are the same
24
Q

How to position of two intersecting vectors

A
  • Set the two eqations equal to each other.
  • ## Solve for μ or λ and then sub one of these values into its repective equation
25
How to find the angle of intersection between two lines
- Use the rearrangement of the scalar product - Remeber, the angle between the lines is equivilent to finding the angle between the two directional vectors
26
What is the vector equation of a plane
27
What is the equation for the shortest distance between a line and a plane
- Where d = p in the plane equation
28
What is the shortest distance from the plane to an origin
Where a is a point on the plane and n is the unit vector of the normal
29
How do you find the intersection between a line and a plane
- Plug in the values for the line (e.g 2-λ) into the point on a plane part of the plane. - Solve for λ - Using this value of λ and the origional equation of the line, get the point which intersects with the plane
30
What will the intersection of two planes give us
- A line
31
How to find the intersection of two planes
- To get the directional vector of the line (b) we do the cross product of the normals of each plane. (As we know the line is perpendicular to both normals) - To get the position vector a: we know that this point is on both lines so we solve for a position that fufills both planar equations. This can include picking a random number.
32
How to find the angle between two planes
- Use the scalar product rearragned on the normals of both planes -
33
How to find the angle between a line and a plane
- We can easily find the angle between a line and the normal using the rearranged scalar product - We can then subtract this from 90 degrees to find the angle between the line and the plane -
34
How to find the vector equation of a plane from 3 points
- We have points A, B, C in a plane - Do the cross product of the lines AB and BC. - This will yield the normal to the plane - Now using the equation for a plane we do the dot product of this normal and a point on the plane to get p