2006
Two protein sequences have been aligned and the amino acid differences between corresponding positions are examined. Which of the following substitutions would be the least conservative?
E. D for L
2006
Two protein which have the same catalytic activity and very nearly the same residues in their active sites but very different sequences and tertiary structures would usually be considered an example of
B. convergent evolution
2006
Two protein which have the have similar activity, similar amino acid sequences and similar tertiary structures would usually be considered an example of
D. divergent evolution
2006
In the α, β barrel motif often seen in proteins, the β-strands are
E. all of the above are found in protein interiors
2006
Which of the following is not found in the interior of globular proteins
E. all of the above are found in protein interiors
2006
In connecting which of the following will must the crossover have handedness, irrespective of whether the handedness is left or right?
B. two parallel B-strands
2006
If a protein - or any object for that matter - has a two-fold rotation axis of symmetry?
A. rotation about that axis by 180º converts it into itself, ie. the result of the rotation cannot be distinguished from the original unrotated form
2006
If the ΔS of the U to N transition of a protein in aqueous solution is negative, then
E. folding, if it occurs, i.e. if ΔG < 0, will be enthalpy dirven
2006
The prediction of secondary structures in proteins of unknown three dimensional structure is based on
A. the frequency with which each type of amino acid is found in the various secondary structures in proteins of known three dimensional structure
2016
Which of the following is/are correct units for reaction velocity?
moles / liter-minute
2006
Km for a Michaelis-Menten enzyme is a good estimate of the dissociation constant for the enzyme-substrate complex provided that
D. substrate binding and release are fast compared to product formation on the enzyme and product release
2006
After five half-lives of a first order reaction have passed, the percent of the initial material left is
A. 3.1%
2006
In the steady state assumption which underlies Michaelis-Menten kinetics
ES is formed at the same rate at which it is broken down
2006
When the reaction velocity of a reaction catalyzed by a Michaelis-Menten enzyme is one half Vmax
[S] = Km
2006
An experimenter believes that an inhibitor of a Michaelis-Menten enzyme binds to the enzyme only if substrate is already bound. She would expect that
Lineweaver-Burk plots of the data would have parallel lines
2006
In the Bohr effect of homoglobin one observes that the binding of oxygen causes dissociation of protons from the protein. This observation requires that
oxygen binding causes the pKa one or more side chains of the hemoglobin to decrease
2006
The enthalpy of folding (ΔH) of most small proteins is approximately - 200kJ/mol at 25°C under physiological conditions. Myoglobin, however, folds with an enthalpy of zero. Which of the following best explains why myoglobin folds with ΔH = 0
the folding is entropy driven
2006
The enthalpy of folding (ΔH) of most small proteins is approximately - 200kJ/mol at 25°C under physiological conditions. The free energy of folding under the same conditions is approximately - 50 kJ/mol. Which of the following best explains these results?
the entropy of folding is unfavorable
2006
Serine is found at positions 77 and 79 of a normal, wild type protein. In a series of site specific mutagenesis experiments, all nineteen of the other amino acids are substituted for ser 77, and in a second series of experiments, all nineteen amino acids are substituted for ser 79. The unfolding temperature of all thirty-eight mutant proteins is compared with that of the wild type. At position 77 only alanine had no effect on the unfolding temperature. All other amino acids lowered the Tm. At position 79, however, not only alanine but also many other amino acids had no effect on the stability. Which of the following best explains these results?
A. Residue 79 is on the protein surface and interacts with few other residues, while residue 77 is an interior residue and normally interacts with many other residues in the three dimensional structure.
2006
It is observed that side chains such as valine, which are branched at the B-carbon, and very bulky side chains have a strong propensity to occur in B-sheets, whereas side chains which are unbranched at the B-carbon and are relatively long have a high probability of being found in a-helices. Which of the following might explain this observation?
Steric interference betwee neighboring branched or bulky side chains prevents the formation of a-helices but does not occur in the B-sheet coformation. Unbranched and long side chains don’t have this problem and fit sterically in a-helices quite well
2006
Anfinsen’s experiment with ribonuclease-A demonstrates that
B. the amino acid sequence of a protein contains all the information necessary for the protein to fold to its native three dimensional conformation.
2006
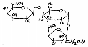
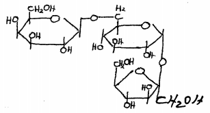
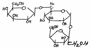
The carbohydrate unit(s) at the non-reducing end(s) of X is (are)

Gal, Fru
2006
The carbohydrate unit at the reducing end is

None of the above
2006
The Hydrolysis of X in acid solution will give _____ monosaccharides in the proportion _____

3; 1:1:1