2009
In the structure below the orientation at which C atom would determine if this is a D or L sugar

4
2009
When two carbohydrates are epimers
They differ only in the configuration around one carbon atom
2009
From the abbreviated name of hte compound Gal(B1→4)Glc, we know that
the compound is lactose
2009
In glycoproteins, the carbohydrate moiety is always attached through the amino acid residue
asparagine, serine, or threonine
2009
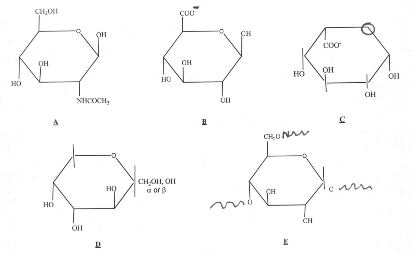
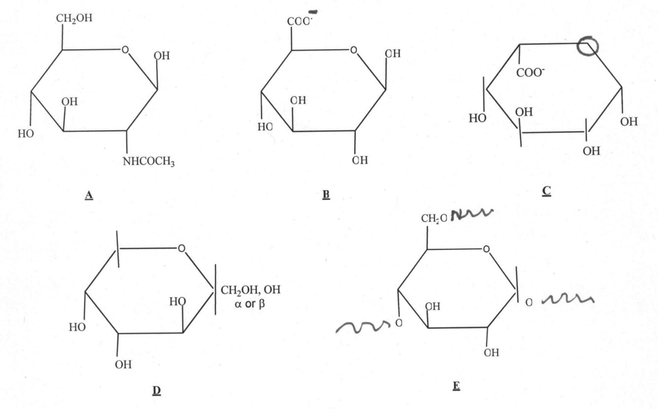
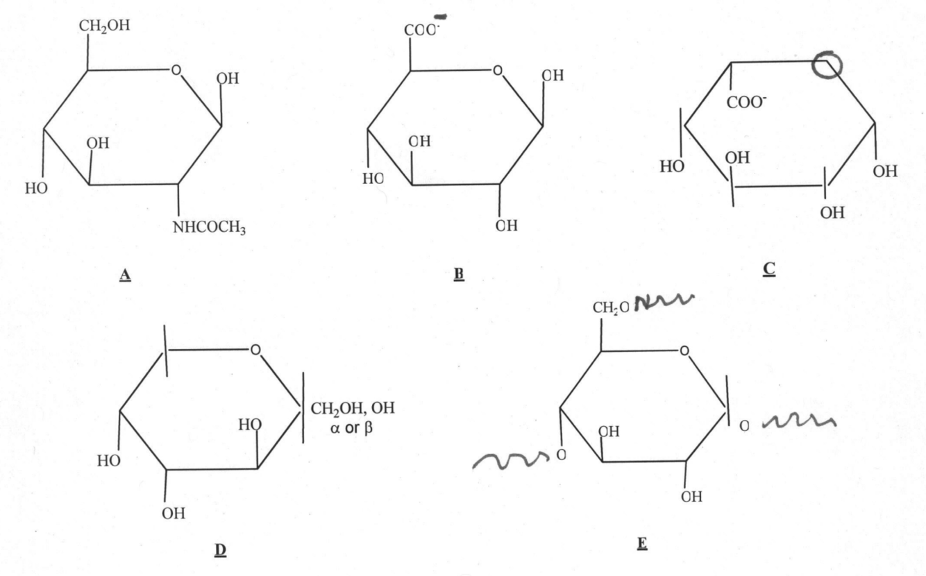
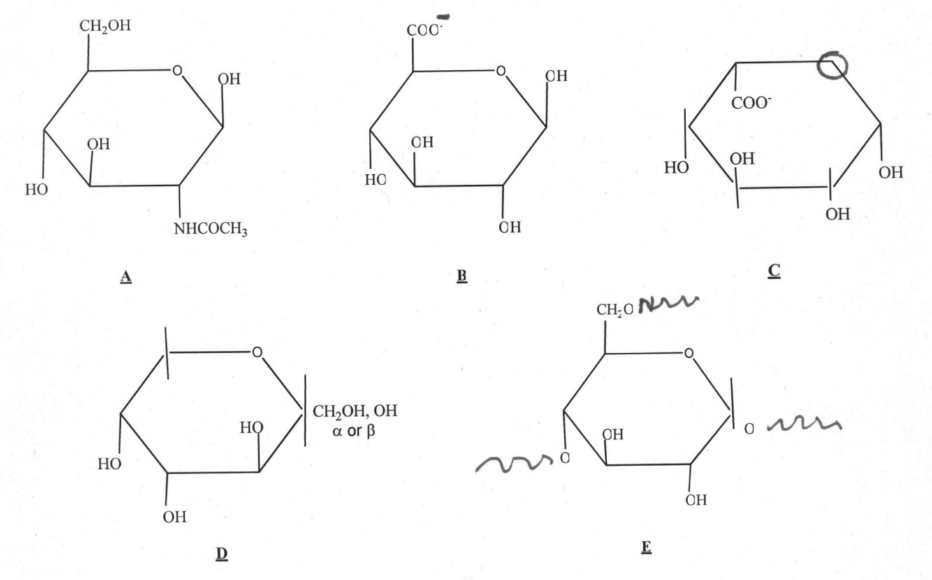
Which is found in glocogen?

E
2009
Which is a ketose?

D
2009
Which is an L-sugar?

C
2009
Which is a pair of epimers?

B
2009
Which of the following statements about starch and glycogen is false?
Both serve primarily as structural elements in cell walls
2009
If glycogen is partially hydrolysed and all possible disaccharides are isolated, how many would be found?
2
2009
Neuraminic acid is a 9 carbon atom keose (i.e. nonose). The total number D diastereomers of neuraminic acid (ignore anomers is)

16
2009
Neuraminic acid is formed from 2-acetamido-D and the metabolite phosphoennol pyruvate. How many 9C atom sugars can be formed?

2
2009
An unknown oligosaccharide is reduced at its reducing end with an appropriate reducing agent. It was found that 504 mg of the oligosaccharide consumed the equivalent of 1 millimole of hydrogen. The molecular weight of oligosaccharide is
504
2009
An unknown oligosaccharide is reduced at its reducing end with an appropriate reducing agent. It was found that 504 mg of the oligosaccharide consumed the equivalent of 1 millimole of hydrogen. This oligosaccaride most like is.
a reducing trisaccharide consisting of 3 hexoses
2009
Ther term amphipathic means
having one region that is polar and one that is nonpolar
2009
The polar head group of cholesterol is
the hydroxyl group
2009
Required biological membranes are “self-sealing” due to all of the following except:
covalent interactions among lipids
2009
A cell has available deoxyribose molecules, inorganic phosphates and the standard purine and pyrimidine molecules with nothing attached to them. The cell makes a deoxytetranucleotide with a hydroxyl at one end and a phosphate at the other. How many water molecules does it remove to make the deoxytetranucleotide?
eleven
2009
A cell has available deoxyribose molecules, inorganic phosphates and the standard purine and pyrimidine molecules with nothing attached to them. The cell makes a deoxytetranucleotide with a hydroxyl at one end and a phosphate at the other.
If the cell had ribose molecules instead of deoxyribose available, how many water molecules would it have had to remove to make the tetranucleotide with a hydroxyl at one end and a phosphate at the other?
eleven
2009
Frederick Griffith injected mice with various strains of pneumococcus. Which of the following formulations would have caused the mice to die?
a mixture of heat-killed encapsulated virulent bacteria and live nonencapsulated nonvirulent bacteria
2009
Which of the following would be a violation of Chargaff’s rules with respect to the base composition of double stranded DNA?
A + T = G + C
2009
Which of the following is not true of the following DNA sequence?
5’ … TGCGATACTCATCGCA … 3’
if matched with its complementary strand, it would be a mirror repeat
2009
Hoogsteen base pairing can lead to formation of
triplex DNA
2009
The melting temperature, Tm of DNA is found to follow the expression
Tm = 81.5° + 0.41°(%GC) - 675°/(length of DNA in base pairs)
An oligonucleotide 15 basepairs in length is found to have a melting temperature of 65.2°. What is its GC content?
70%