What are monomials and polynomials?

What are terms of a polynomial?

What is the standard form of a polynomial?

What is the leading term of a polynomial?

What is the leading coefficient of a polynomial?

What is the degree of a monomial?

What is the degree of a polynomial?

What are binomials and trinomials?

What is a quadratic?

Where is this number’s decimal in standard form?


Where is this number’s decimal in standard form?


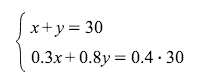
How would you set up the equations to solve this problem?


What will be the value of this product’s exponent?

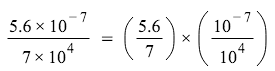
How would you get this equation ready to solve?


What is the product property of exponents?

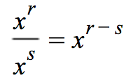
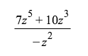
What is the quotient property of exponents?

What is the power of a power property of exponents?

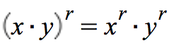
What is the power of a product property of exponents?

What is the power of a quotient property of exponents?

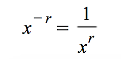
What is the negative exponent property of exponents?

What is the zero exponent property of exponents?

What is the negative exponent with quotient property of exponents?

What steps would you take to solve this problem?


What steps would you take to divide this using synthetic division?
The final entry in row three is the remainder, and the others are the oefficients of a polynomial whose degree is one less than the dividend.
