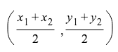
What is the formula for finding the midpoint of a line?

What is the formula for finding the volume of a cylinder?
V = Bh
What is the formula for finding the slope of a line using two given points?

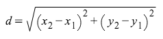
What is the equation for finding the distance between two points on a plane?
