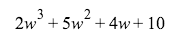
What steps would you take to factor this expression?


What steps would you take to factor this by grouping?
(one variable)


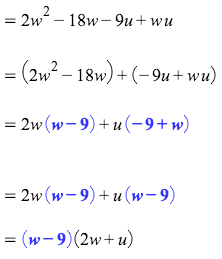
What steps would you take to factor this by grouping?
(two variables)


What steps would you take to factor this expression?
(Factoring a product of a quadratic trinomial and a monomial)


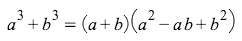
How can this be written as the sum of two cubes?


What is the formula for factoring the sum of two cubes?

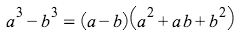
What is the formula for factoring the difference of two cubes?

What steps would you take to solve this equation?
(two possible answers for variable)

Because one of the expressions must equal zero:

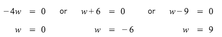
What steps would you take to solve this equation?
(three possible answers for variable)

Because one of the expressions must equal zero:

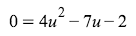
What steps would you take to solve this equation?
(quadratic equation with leading coefficient one)


What steps would you take to solve this equation?
(quadratic equation with leading coefficient greater than one)


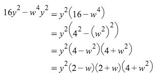
What steps would you take to factor this expression?
(factoring with repeated use of the difference of squares formula)


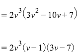
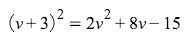
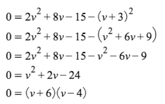
What steps would you take to solve for v in this equation?
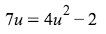
(Solving a quadratic equation needing simplification)

