Radicals Flashcards

(3 cards)

1
Q

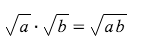
What is the Product Property of square roots?

A
How well did you know this?
1
Not at all
2
3
4
5
Perfectly
2
Q

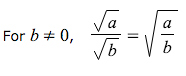
What is the Quotient Property of square roots?

A
How well did you know this?
1
Not at all
2
3
4
5
Perfectly
3
Q

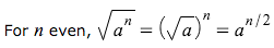
What is the Square of a Power Property?

A
How well did you know this?
1
Not at all
2
3
4
5
Perfectly