Final Exam Flashcards

(13 cards)

1
Q

Jacobian

A
How well did you know this?
1
Not at all
2
3
4
5
Perfectly
2
Q
A
How well did you know this?
1
Not at all
2
3
4
5
Perfectly
3
Q
A
How well did you know this?
1
Not at all
2
3
4
5
Perfectly
4
Q

Line Integral with Respect to Arc Length

A
How well did you know this?
1
Not at all
2
3
4
5
Perfectly
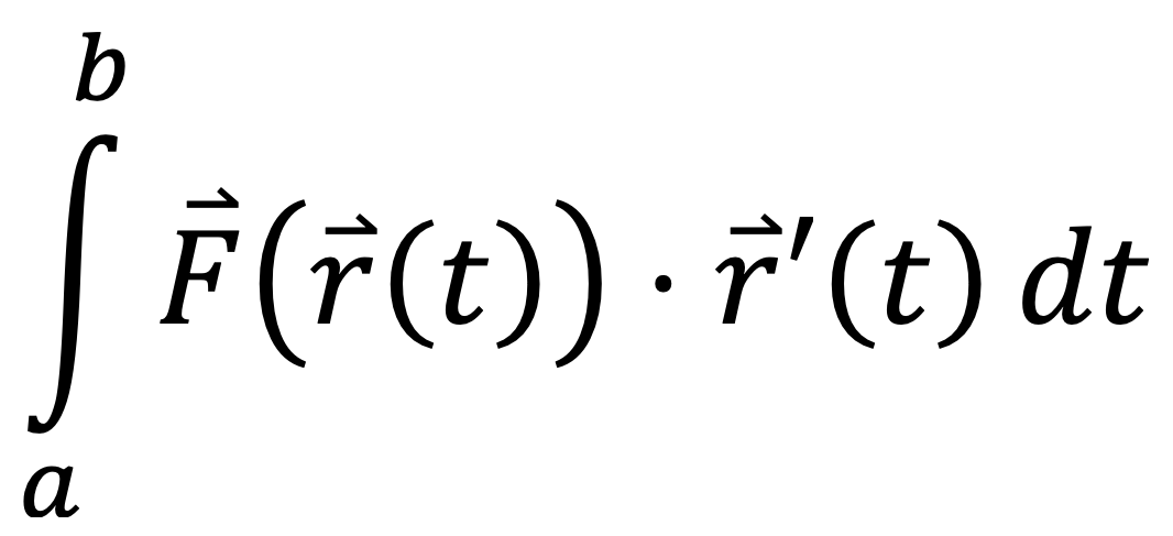
5
Q

Line Interval of F along C

A
How well did you know this?
1
Not at all
2
3
4
5
Perfectly
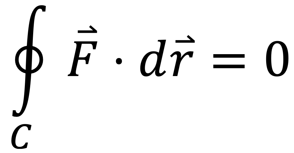
6
Q

Path Independence

A

If and only of

How well did you know this?
1
Not at all
2
3
4
5
Perfectly
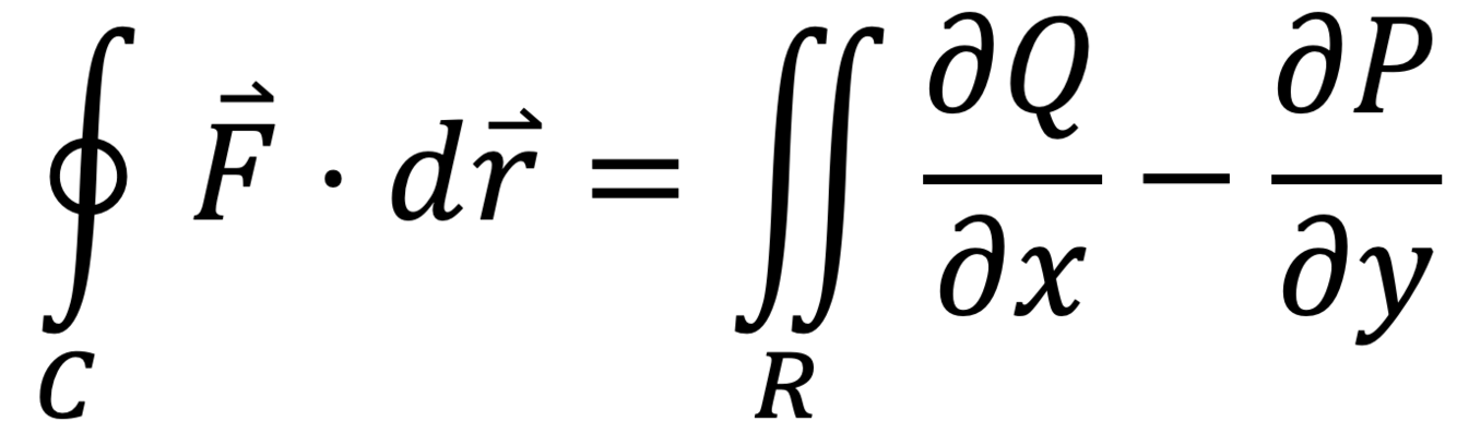
7
Q

Green’s Theorem

A
How well did you know this?
1
Not at all
2
3
4
5
Perfectly
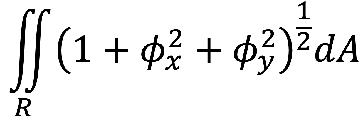
8
Q

Surface Area

A
How well did you know this?
1
Not at all
2
3
4
5
Perfectly
9
Q

Surface Integral of f over a Surface S

A
How well did you know this?
1
Not at all
2
3
4
5
Perfectly
10
Q

Surface Integral of F over S (flux)

A
How well did you know this?
1
Not at all
2
3
4
5
Perfectly
11
Q
A
How well did you know this?
1
Not at all
2
3
4
5
Perfectly
12
Q

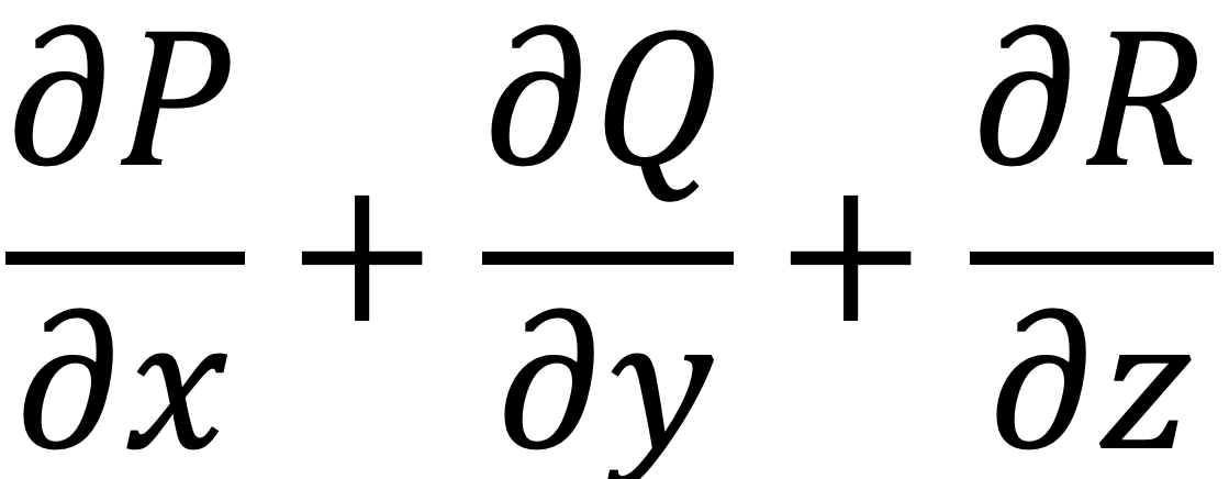
The Divergence Theorem

A
How well did you know this?
1
Not at all
2
3
4
5
Perfectly
13
Q

Stokes’ Theorem

A
How well did you know this?
1
Not at all
2
3
4
5
Perfectly