Test 2 Flashcards

(6 cards)

1
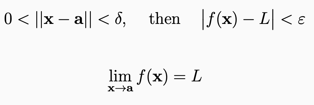
Q

Definition of a Limit

A
How well did you know this?
1
Not at all
2
3
4
5
Perfectly
2
Q

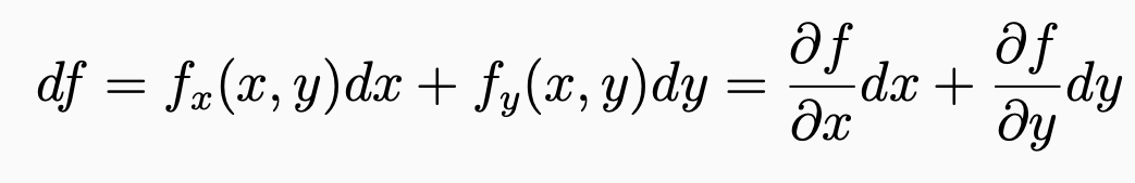
Differential

A
How well did you know this?
1
Not at all
2
3
4
5
Perfectly
3
Q

Tangent Plane

A
How well did you know this?
1
Not at all
2
3
4
5
Perfectly
4
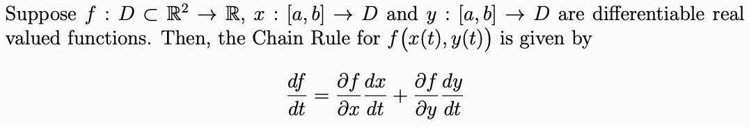
Q

Multivariable Chain Rule: f( x(t), y(t) )

A
How well did you know this?
1
Not at all
2
3
4
5
Perfectly
5
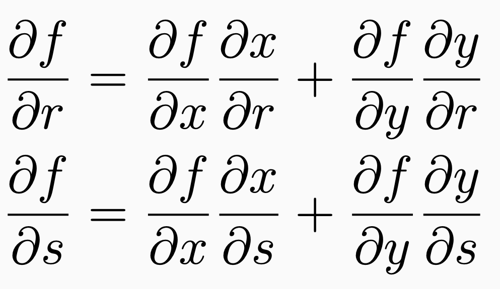
Q

Multivariable Chain Rule: f( x(r, s), y(r, s) )

A
How well did you know this?
1
Not at all
2
3
4
5
Perfectly
6
Q

Directional Derivative

A
How well did you know this?
1
Not at all
2
3
4
5
Perfectly