Test 3 Flashcards

(6 cards)

1
Q

The Second Derivative Test

A
How well did you know this?
1
Not at all
2
3
4
5
Perfectly
2
Q

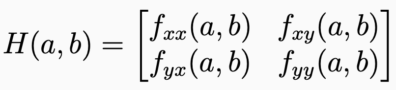
The Hessian Matrix

A
How well did you know this?
1
Not at all
2
3
4
5
Perfectly
3
Q

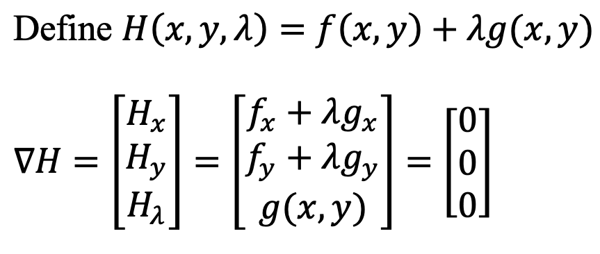
Lagrange Multiplier

A
How well did you know this?
1
Not at all
2
3
4
5
Perfectly
4
Q

Integration in Cylidrical Coordinates

A
How well did you know this?
1
Not at all
2
3
4
5
Perfectly
5
Q

Integration in Spherical Coordinates

A
How well did you know this?
1
Not at all
2
3
4
5
Perfectly
6
Q

Integration in Polar Coordinates

A
How well did you know this?
1
Not at all
2
3
4
5
Perfectly