Test 1 Flashcards

(24 cards)

1
Q
A
How well did you know this?
1
Not at all
2
3
4
5
Perfectly
2
Q

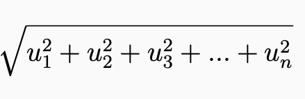
Unit Vector

A
How well did you know this?
1
Not at all
2
3
4
5
Perfectly
3
Q

The Dot Product

A
How well did you know this?
1
Not at all
2
3
4
5
Perfectly
4
Q

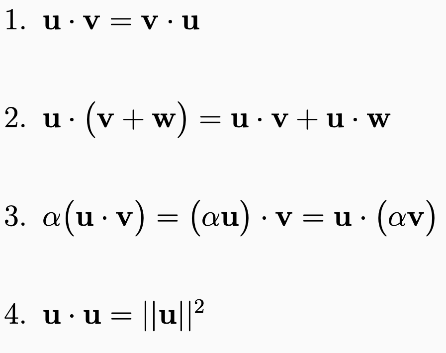
Properties: The Dot Product

A
How well did you know this?
1
Not at all
2
3
4
5
Perfectly
5
Q

Orthogonal Vectors

A
How well did you know this?
1
Not at all
2
3
4
5
Perfectly
6
Q

Geometric Dot Product

A
How well did you know this?
1
Not at all
2
3
4
5
Perfectly
7
Q

Finding Angle Between Two Vectors

A
How well did you know this?
1
Not at all
2
3
4
5
Perfectly
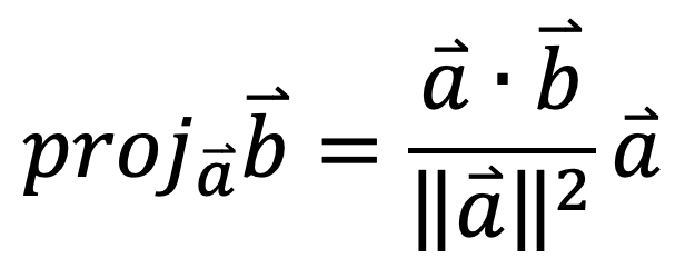
8
Q

Vector projection of b onto a

A
How well did you know this?
1
Not at all
2
3
4
5
Perfectly
9
Q

The Cross Product

A
How well did you know this?
1
Not at all
2
3
4
5
Perfectly
10
Q

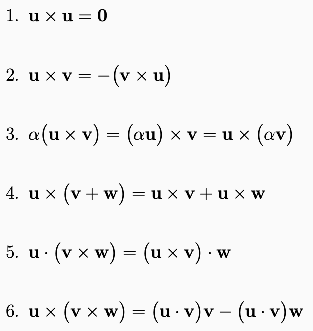
Properties: Cross Product

A
How well did you know this?
1
Not at all
2
3
4
5
Perfectly
11
Q

What is u × v orthogonal to?

A

u and v

How well did you know this?
1
Not at all
2
3
4
5
Perfectly
12
Q

Geometric Cross Product

A
How well did you know this?
1
Not at all
2
3
4
5
Perfectly
13
Q

Area of Parallelogram

A
How well did you know this?
1
Not at all
2
3
4
5
Perfectly
14
Q

Volume of Parallelapiped

A
How well did you know this?
1
Not at all
2
3
4
5
Perfectly
15
Q

Line (Vector Form)

A
How well did you know this?
1
Not at all
2
3
4
5
Perfectly
16
Q

Line (Cartesian Form)

17
Q

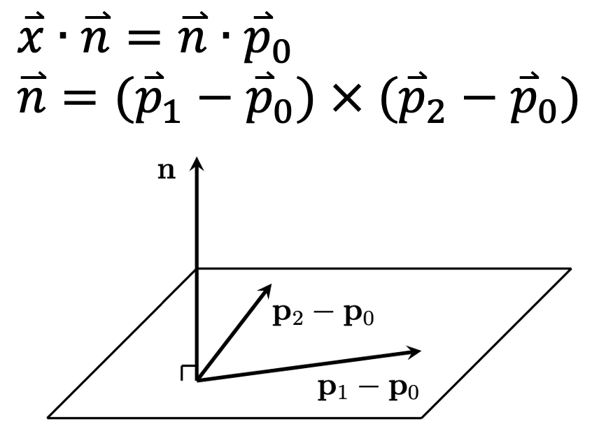
Plane (Vector Form)

18
Q

Plane (Cartesian Form)

19
Q

Linear Equation of Plane

22
Q

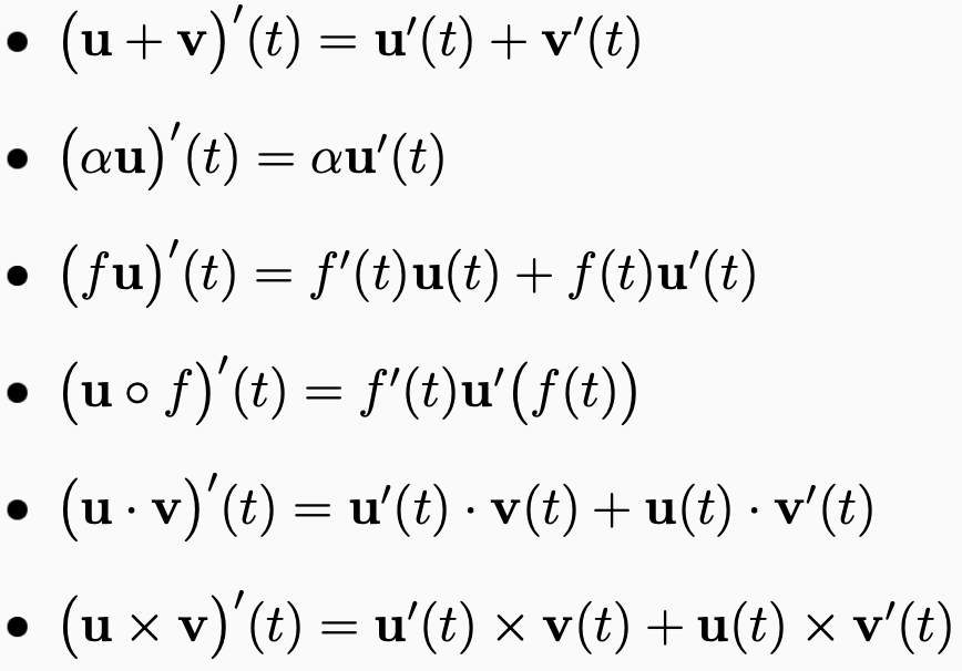
Properties (Derivative Rules)

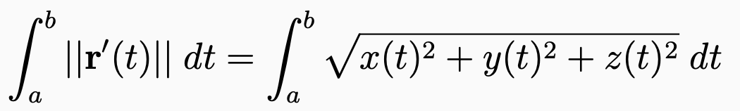
24
Q

Arc Length of Curve