Finance Topic 1 Flashcards

(11 cards)

1
Q

Accounting rate of return formulae

A
How well did you know this?
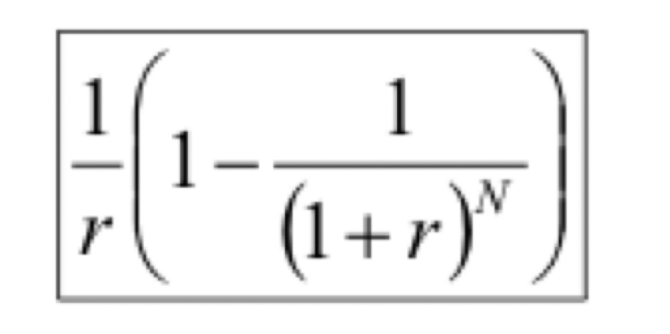
1
Not at all
2
3
4
5
Perfectly
2
Q

Discounting formulae

A
How well did you know this?
1
Not at all
2
3
4
5
Perfectly
3
Q

NPV

A

Discounted cash flow method, discount all relevant cash flows to present value

How well did you know this?
1
Not at all
2
3
4
5
Perfectly
4
Q

Profitability index

A

NPV per £ of initial capital outlay

Calculated - NPV divided by initial investment

How well did you know this?
1
Not at all
2
3
4
5
Perfectly
5
Q

Internal rate of return

A

IRR
Yield earned on an inv over course of its economic life
Discount rate that causes NPV to be zero

How well did you know this?
1
Not at all
2
3
4
5
Perfectly
6
Q

IRR formulae

A

Rule:
R1> 0
R2-r1 , or equal to 10%

How well did you know this?
1
Not at all
2
3
4
5
Perfectly
7
Q

Annuity

A

Same cash flow every period
Finite number

How well did you know this?
1
Not at all
2
3
4
5
Perfectly
8
Q

Perpetuities

A

Same cash flow each period
Forever

How well did you know this?
1
Not at all
2
3
4
5
Perfectly
9
Q

Single future cash flow

A
How well did you know this?
1
Not at all
2
3
4
5
Perfectly
10
Q

Formulae linking nominal and real inflation rates

A
How well did you know this?
1
Not at all
2
3
4
5
Perfectly
11
Q

Conversion of inflation nominal vs real

A
How well did you know this?
1
Not at all
2
3
4
5
Perfectly