FInance Topic 3 Flashcards

(12 cards)

1
Q

Rights value per existing share formulae

A
How well did you know this?
1
Not at all
2
3
4
5
Perfectly
2
Q

Comparing costs:

A
How well did you know this?
1
Not at all
2
3
4
5
Perfectly
3
Q

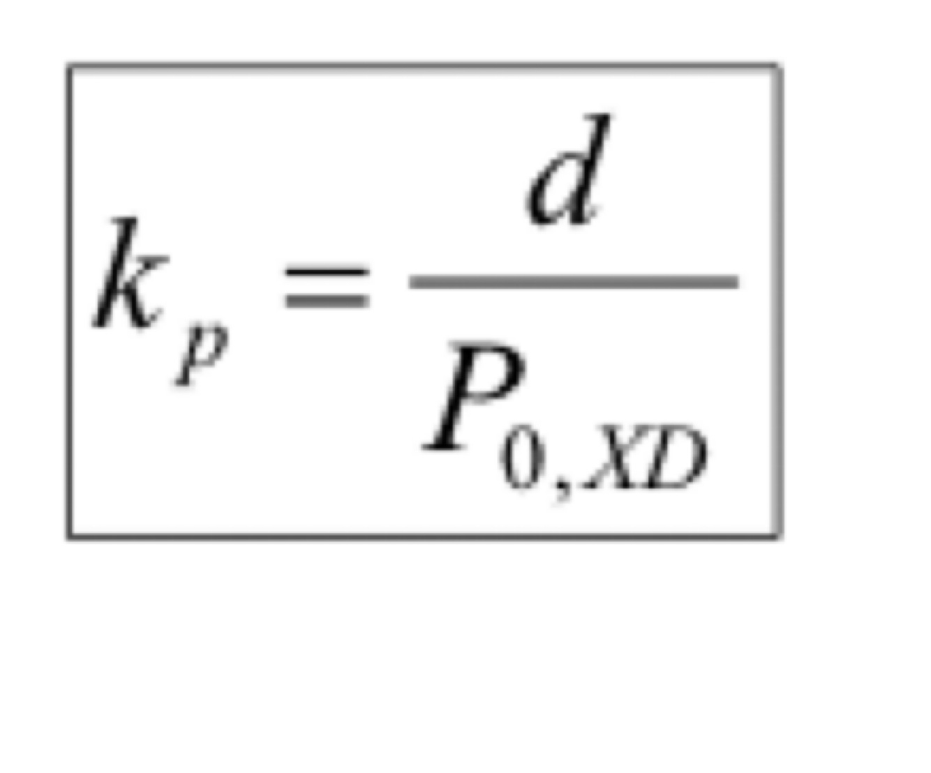
Constant dividend model
Cost of equity

A

Intended to continue indefinitely

How well did you know this?
1
Not at all
2
3
4
5
Perfectly
4
Q

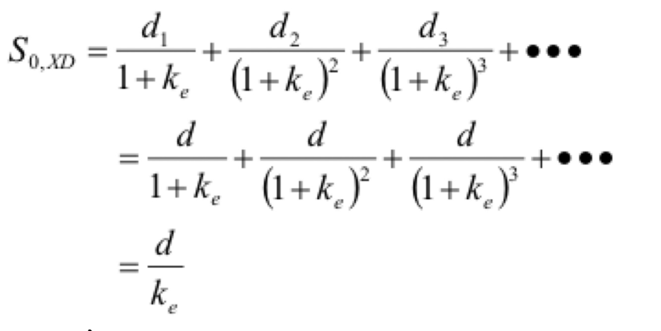
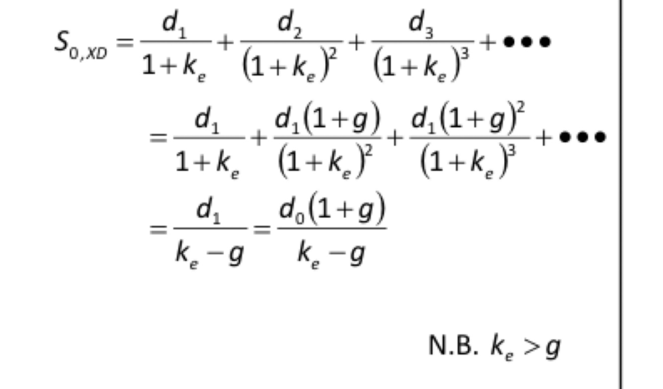
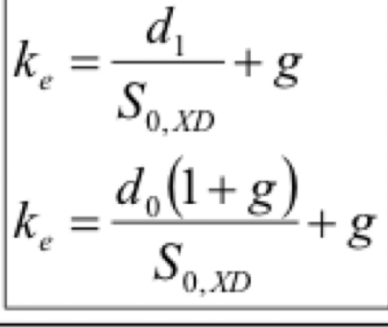
Constant dividend growth model
Cost of equity

A
How well did you know this?
1
Not at all
2
3
4
5
Perfectly
5
Q

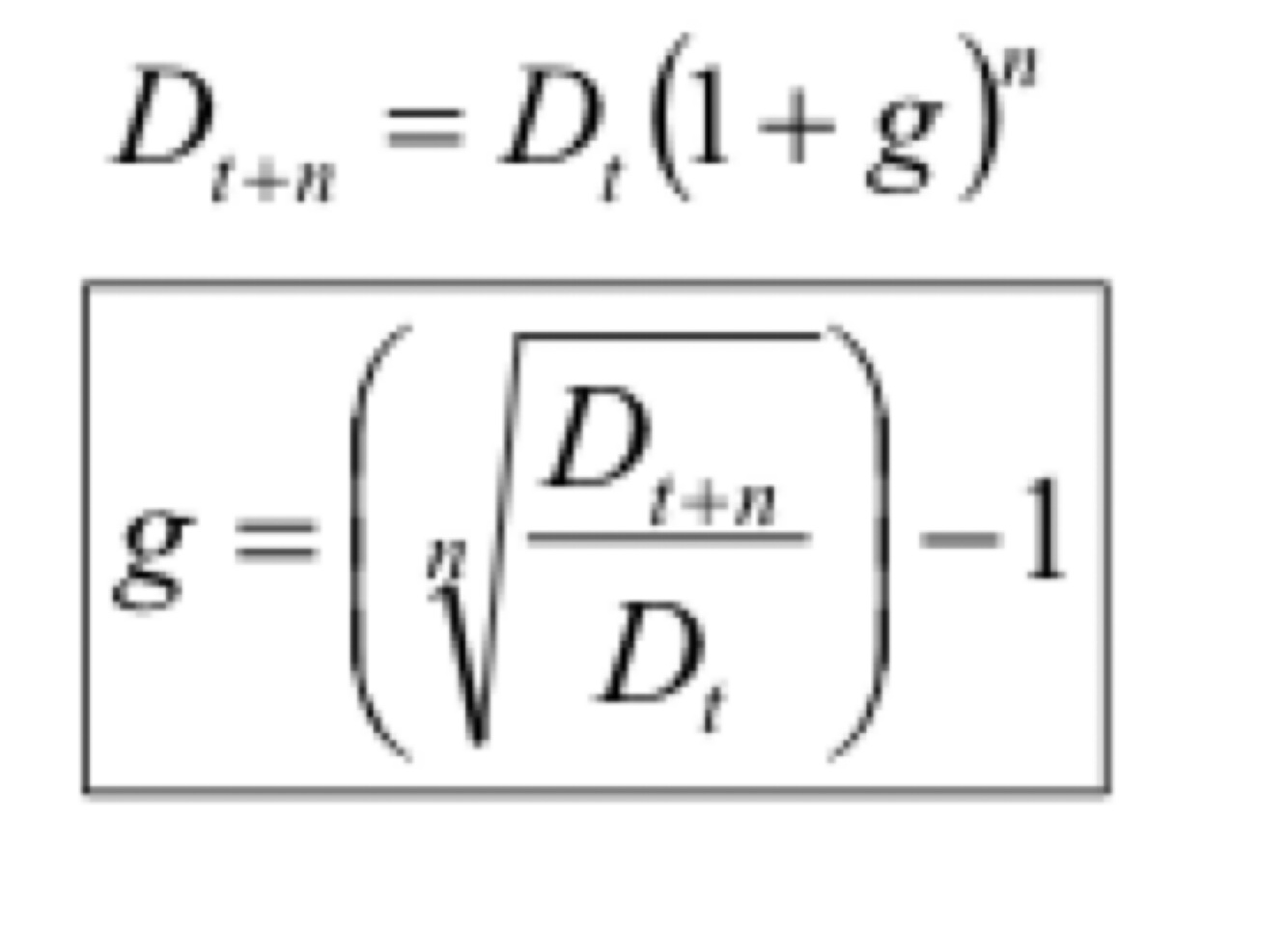
Calculation of growth rate

A
How well did you know this?
1
Not at all
2
3
4
5
Perfectly
6
Q

Calculation of sustainable growth rate

A
How well did you know this?
1
Not at all
2
3
4
5
Perfectly
7
Q

Capital asset pricing model (CAPM)

A
How well did you know this?
1
Not at all
2
3
4
5
Perfectly
8
Q

Cost of preference shares

A

Constant divided model usually appropriate
Assume preference shares = perpetual

How well did you know this?
1
Not at all
2
3
4
5
Perfectly
9
Q

Cost of perpetual debt

A

Constant interest model = appropriate
Debt = may be irredeemable bond, or perpertual loan
Interest expense is and allowable deduction in calculating profit chargeable to tax, so net cost to business of interest is reduced

How well did you know this?
1
Not at all
2
3
4
5
Perfectly
10
Q

Cost of redeemable debt

A

IRR calculation required

How well did you know this?
1
Not at all
2
3
4
5
Perfectly
11
Q

XD & XI

A

Divided/interest is about to be paid - remove value from market price (cum dividend = with)

Dividend/interest has just been paid - market price doesn’t need adjusting (ex-dividend)

How well did you know this?
1
Not at all
2
3
4
5
Perfectly
12
Q

WACC calculation

A
How well did you know this?
1
Not at all
2
3
4
5
Perfectly