Finance Topic 4 Flashcards

(7 cards)

1
Q

Gearing/leverage various metrics

A
How well did you know this?
1
Not at all
2
3
4
5
Perfectly
2
Q

M & M1 formulae

A
How well did you know this?
1
Not at all
2
3
4
5
Perfectly
3
Q

Levered vs unlevered firm

A

no debt = unlevered firm
has debt in its capital structure = levered firm.

Absence of tax, mkt value fo firm = independent of capital structure and given by present value of its expected NOI discounted at rate ρ appropriate to its risk class

Present of corp tax = mkt value of levered firm exceeds value of equivalent unlevered firm by amount equal to market value of its debt multiplied by corp tax rate it faces

How well did you know this?
1
Not at all
2
3
4
5
Perfectly
4
Q

Substitution for B market value of debt in M&M1

A
How well did you know this?
1
Not at all
2
3
4
5
Perfectly
5
Q

Formulae for market value of debt B

A

Amount debt providers are demanding = what company contractually required to give them

How well did you know this?
1
Not at all
2
3
4
5
Perfectly
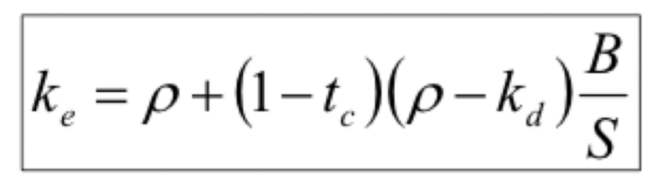
6
Q

M&M2 formulae

A

-absence of tax, firm cost of equity increases linearly with increasing leverage (as measured by ratio of market value of its debt to the market value of its equity) slope of increase being excess of the all equity financed rate ρ appropriate to its risk class above the cost of debt

-presence of corp tax, slope of increase of the firms costs equity being reduced by factor (1-tc) as compared to the ‘no tax’ case

How well did you know this?
1
Not at all
2
3
4
5
Perfectly
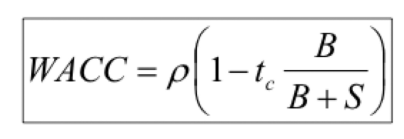
7
Q

M & M3 formulae

A

-absence of tax, firms WACC = all equity financed rate ρ appropriate to risk class

-presence of corp tax, firms WACC decreases with increasing leverage as measured by ratio of market value of its debt to total market value of firm) asymptotically towards a limit being the all equity financed rate ρ appropriate to its risk x (1-tc)

How well did you know this?
1
Not at all
2
3
4
5
Perfectly