Finance Topic 5 Flashcards

(3 cards)

1
Q

Gordon growth model

A

firms growth rate is at least partially affected by amount of profit it retains

How well did you know this?
1
Not at all
2
3
4
5
Perfectly
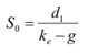
2
Q

M&M dividend policy without growth

A

world without taxes/transaction costs
value of equity

How well did you know this?
1
Not at all
2
3
4
5
Perfectly
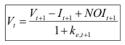
3
Q

recursive valuation formula

A

V on both sides
dividends dont feature (dividend policy is irrelevant to value)

How well did you know this?
1
Not at all
2
3
4
5
Perfectly