EBITDA formula
EBITDA=NetIncome + Interest + Taxes + Depreciation + Amortization
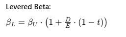
Beta levered
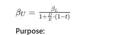
Beta unlevered
Sources for Beta
Bloomberg (raw & adjusted beta)
Yahoo Finance (usually 2-year weekly beta)
Analyst reports
Regression of stock returns vs. market (e.g., S&P 500)
Cost of Debt
If public: Use current yield to maturity (YTM) of company’s traded debt
If private: Estimate using credit rating and yield spreads (e.g., Moody’s Baa)
Basic EPS
Normalized
Calendarization (for Comparable Companies)
Normalized
Normalized financials adjust a company’s earnings or other metrics to remove the effects of non-recurring, one-time, or unusual items.
Examples of Adjustments:
Remove gains or losses from asset sales
Exclude one-time legal settlements
Adjust for non-recurring restructuring charges
Strip out COVID-related government subsidies or temporary closures
Normalize owner compensation in private businesses
Pro Forma Financials
Pro forma financials present how the financial statements would look after a future event occurs, such as an acquisition, financing, or restructuring.
Beta
Measure of systematic risk.
How much returns move in relation to the overall market
Cov between stock and market return
/
Variance of market returns
Beta examples
EComm 1.5
Health 0.7 to 1.0
Banking 1.0
Industrials 1.0 to 1.2
Gold -0.5
Oil 1.3