inverse of matrix
AX = B
A-1AX = A-1B
IX = A-1B
X = A-1B
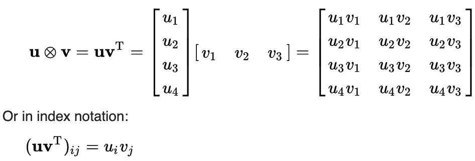
outer product

matrix operations
add large number
take the log of the number
statistical power
statistical power calculation
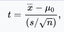
one sample t-test (paired t-test)

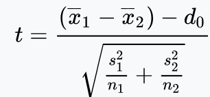
two sample unpooled t-test

confidence
Gaussian confidence interval
bernouilli confidence interval
wilson interval
conjugate priors
lift
bayesian approach
1. start with likelihood: p(X|ø) = Πp(Xi|ø)
sensitivity/recall
specificity
precision
accuracy
ROC
f1 score
4th order runge-kutta