NLP method summary
term-document
term frequency–inverse document frequency (TF-IDF)
problem with wordcount
lemmatization
main areas of NLP
word embedding
cosine distance
one hot encoding
t-SNE
n-gram models
chain rule of probability
markov assumption
recursive neural tensor network (RNTN)
method for state of the art sentiment analyzer
training sentence generator
how to calculate probability of word sequence
Word2Vec
continuous bag of words (CBOW)
heirarchical softmax
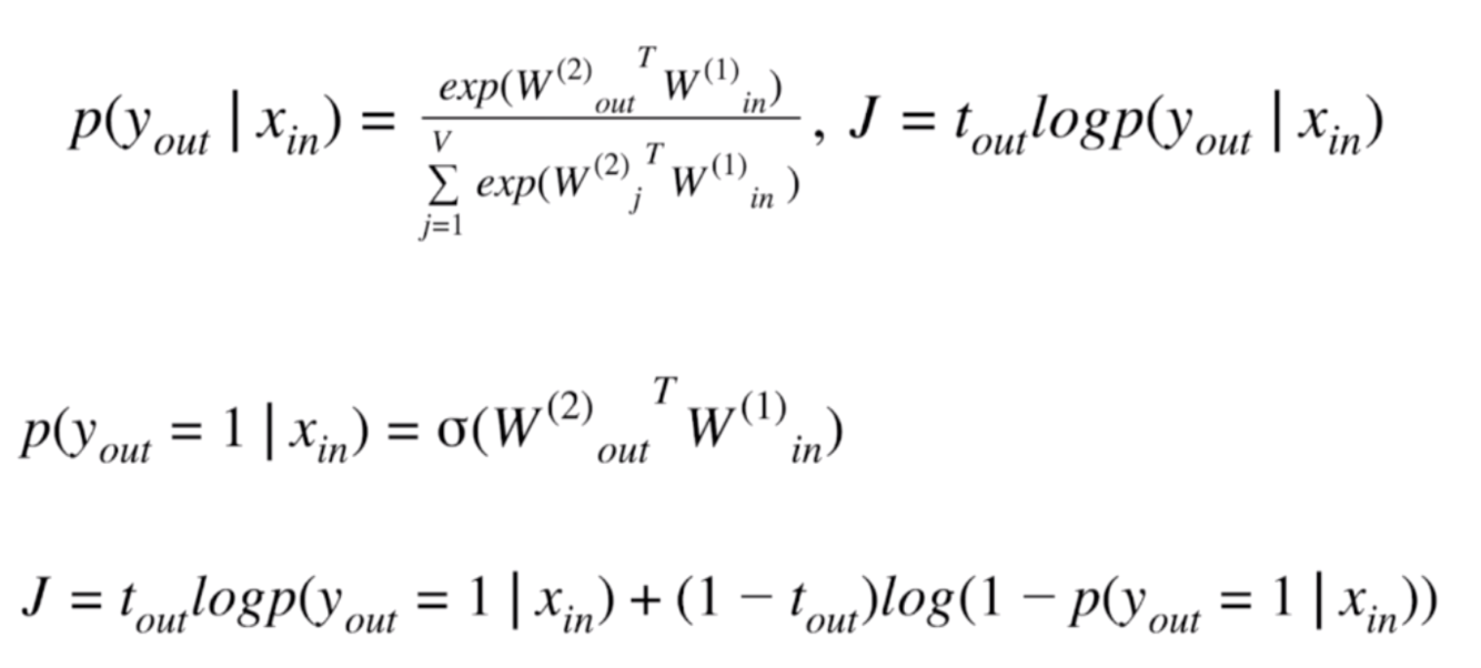
negative sampling
negative sampling updates

multiclass versus binary classification

GloVe versus Word2Vec
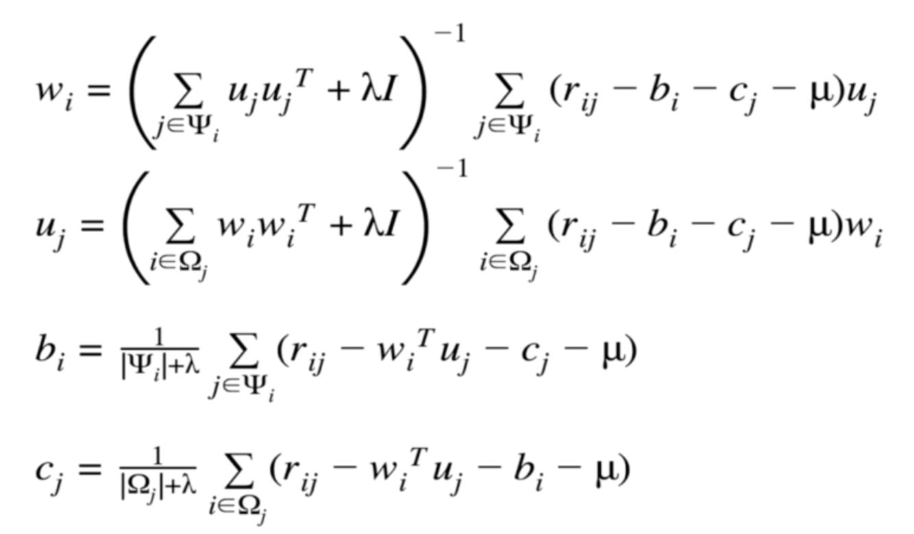
matrix factorization update equations
